The photos you provided may be used to improve Bing image processing services.
Privacy Policy
|
Terms of Use
Can't use this link. Check that your link starts with 'http://' or 'https://' to try again.
Unable to process this search. Please try a different image or keywords.
Try Visual Search
Search, identify objects and text, translate, or solve problems using an image
Drag one or more images here,
upload an image
or
open camera
Drop images here to start your search
To use Visual Search, enable the camera in this browser
All
Search
Images
Inspiration
Create
Collections
Videos
Maps
News
More
Shopping
Flights
Travel
Notebook
Top suggestions for Nested Interval Theorem
Nested Interval
Property
Cantor's
Theorem
Closed
Interval Theorem
Monotonic Convergence
Theorem
Taylor
Theorem
Monotone Convergence
Theorem
Bolzano
Theorem
Nested Intervals
Archimedean
Property
Bounded
Interval
Bolzano-Weierstrass
Theorem Proof
Intermediate Value
Theorem
Nested
Compact Sets
What Is a Bounded
Interval
Unbounded Interval
Example
4 Nested
IF
Supremum
Notation
Bolzano Weitrass
Theorem
Cauchy-Schwarz
Theorem
Intermediate Value Theorem
with No Interval
Proof E Is
Irrational
Intermediate Value
Theorem Open Interval
Intermediate Value
Theorem Smallest Interval
Intermediate Value
Theorem without Interval
Apply the Intermediate Value
Theorem
Nested
Sequence Notation
Cauchy-Schwarz Inequality
for Integrals
Taylor's Theorem
Average
Famous
Intervals
Combintation Theorem
Convergent Sequence
Nesting Interval
Set
Nested
Frame of Refrence Point
Interval
of Convergence Therem
Every Cauchy Sequence
Is Convergent Proof
Theorem
Du Cantor
Cauchy Bunyakovsky
Schwarz Inequality
Archimedean
Properties
Archimedean Property
of Real Numbers
Axiom of Completeness
Proof
Monotonicity Convergence
Theorem
Nested
Exist Elimination
Cauchy-Schwarz
Inequalities
Open Intervals Nested Interval
Property Infinite Interesection
Weierstraß
Theorem
Nested
Subset Theory Landscape
Nested
Decreasing Set Diagram Continuity
Proof Test Interval
Continuous Demand
Known as the Bolzano
Weierstrass Theorm
Nested
Subset Theory Consevation
Swequence and Series
Theorems
Explore more searches like Nested Interval Theorem
Isosceles
Triangle
Triangle
Inequality
Parallel
Lines
Perpendicular
Angles
Alternate
Segment
Pythagoras
Worksheet
Angle
Bisector
Alternate Interior
Angles
Perpendicular
Bisector
De
Morgan
What Is
Pythagoras
Cyclic
Quadrilateral
Chord
Circle
Pythagoras
Fórmula
Inscribed
Angle
Geometric
Mean
Invertible
Matrix
Geometry
Examples
Similar
Triangles
Geometric Proof
Pythagorean
Impulse-Momentum
Inverse
Function
What Is
Math
Complex
Conjugate
Pythagorean
Ehrenfest
Midpoint
Master
Pick
Triangle
Lami
Rolles
Thales
Norton
Triangle
Sum
Tangent
Secant
Bezout
La
Place
People interested in Nested Interval Theorem also searched for
Parallel
Axis
Cayley-Hamilton
Secant
Tangent
Emmy
Noether
Hypotenuse
Leg
Geometric
Series
Triangle
Midpoint
Greens
SSS
Similarity
Projection
What Is
Pythagorean
Autoplay all GIFs
Change autoplay and other image settings here
Autoplay all GIFs
Flip the switch to turn them on
Autoplay GIFs
Image size
All
Small
Medium
Large
Extra large
At least... *
Customized Width
x
Customized Height
px
Please enter a number for Width and Height
Color
All
Color only
Black & white
Type
All
Photograph
Clipart
Line drawing
Animated GIF
Transparent
Layout
All
Square
Wide
Tall
People
All
Just faces
Head & shoulders
Date
All
Past 24 hours
Past week
Past month
Past year
License
All
All Creative Commons
Public domain
Free to share and use
Free to share and use commercially
Free to modify, share, and use
Free to modify, share, and use commercially
Learn more
Clear filters
SafeSearch:
Moderate
Strict
Moderate (default)
Off
Filter
Nested Interval
Property
Cantor's
Theorem
Closed
Interval Theorem
Monotonic Convergence
Theorem
Taylor
Theorem
Monotone Convergence
Theorem
Bolzano
Theorem
Nested Intervals
Archimedean
Property
Bounded
Interval
Bolzano-Weierstrass
Theorem Proof
Intermediate Value
Theorem
Nested
Compact Sets
What Is a Bounded
Interval
Unbounded Interval
Example
4 Nested
IF
Supremum
Notation
Bolzano Weitrass
Theorem
Cauchy-Schwarz
Theorem
Intermediate Value Theorem
with No Interval
Proof E Is
Irrational
Intermediate Value
Theorem Open Interval
Intermediate Value
Theorem Smallest Interval
Intermediate Value
Theorem without Interval
Apply the Intermediate Value
Theorem
Nested
Sequence Notation
Cauchy-Schwarz Inequality
for Integrals
Taylor's Theorem
Average
Famous
Intervals
Combintation Theorem
Convergent Sequence
Nesting Interval
Set
Nested
Frame of Refrence Point
Interval
of Convergence Therem
Every Cauchy Sequence
Is Convergent Proof
Theorem
Du Cantor
Cauchy Bunyakovsky
Schwarz Inequality
Archimedean
Properties
Archimedean Property
of Real Numbers
Axiom of Completeness
Proof
Monotonicity Convergence
Theorem
Nested
Exist Elimination
Cauchy-Schwarz
Inequalities
Open Intervals Nested Interval
Property Infinite Interesection
Weierstraß
Theorem
Nested
Subset Theory Landscape
Nested
Decreasing Set Diagram Continuity
Proof Test Interval
Continuous Demand
Known as the Bolzano
Weierstrass Theorm
Nested
Subset Theory Consevation
Swequence and Series
Theorems
768×1024
scribd.com
Nested Interval Theorem and I…
768×1024
scribd.com
Nested Intervals Theorem and …
1434×582
chegg.com
Solved Theorem 1.4.10 (Nested Interval Theorem) Every nested | Chegg.com
700×296
chegg.com
Solved Theorem 14.2 (The Nested Interval Theorem) says that | Chegg.com
Related Products
Pythagorean Theorem Puzzle
Fermat's Last Theorem Book
Mathematical Theorems Po…
1024×768
chegg.com
Solved 7. A theorem known as the Nested Interval Theorem …
2500×3336
scoop.eduncle.com
Show that nested interva…
1920×278
chegg.com
Solved (1) Prove that the nested interval theorem | Chegg.com
1280×180
chegg.com
Solved 10. (i) State and prove the Nested Interval Theorem. | Chegg.com
700×46
chegg.com
Solved 4. State and prove the Nested Interval Theorem | Chegg.com
700×209
chegg.com
Solved Question 3. Use the Nested Interval Theorem to prove | Chegg.com
700×145
chegg.com
Solved In the Nested Interval Theorem, we need the intervals | Chegg.com
Explore more searches like
Nested Interval
Theorem
Isosceles Triangle
Triangle Inequality
Parallel Lines
Perpendicular Angles
Alternate Segment
Pythagoras Worksheet
Angle Bisector
Alternate Interior Angles
Perpendicular Bisector
De Morgan
What Is Pythagoras
Cyclic Quadrilateral
1061×347
chegg.com
Solved Question 3. Use the Nested Interval Theorem to prove | Chegg.com
700×174
chegg.com
Solved a) State the nested interval theorem; b) can nested | Chegg.com
817×159
chegg.com
Solved 00 Theorem [Nested Interval Property]. Let In = (an, | Chegg.com
1404×474
chegg.com
4. Nested Interval Theorem [15 points] (a) Consider a | Chegg.com
1080×675
scoop.eduncle.com
Prove nested interval theorem implies monotonic bounded sequence is conv…
2382×3812
scoop.eduncle.com
Prove nested interval theore…
984×255
Stack Exchange
real analysis - Is this a sufficient proof for the nested interval theorem? - Mathematics Stack ...
1247×130
chegg.com
Solved Use the Nested Interval Theorem to prove: If 0
700×278
chegg.com
Solved Q5 Nested Interval Theorem 10 Points (a) Suppose that | Chegg.com
721×210
chegg.com
Solved (a) State the Nested Interval Theorem. (4 points) Let | Chegg.com
700×139
chegg.com
Solved Consider the statement of the Nested Interval | Chegg.com
1920×827
chegg.com
Solved In the Nested Interval theorem, Ik=[ak,bk] KinN and | Chegg.com
700×298
chegg.com
Solved Iere is a summary of the proof of the Nested Interval | Chegg.com
People interested in
Nested Interval
Theorem
also searched for
Parallel Axis
Cayley-Hamilton
Secant Tangent
Emmy Noether
Hypotenuse Leg
Geometric Series
Triangle Midpoint
Greens
SSS Similarity
Projection
What Is Pythagorean
700×303
chegg.com
Solved 2. (Generalization of the Nested-Interval Theorem) | Chegg.com
1340×697
chegg.com
Solved Q5 Nested Interval Theorem 10 Points (a) Suppose that | Chegg.com
700×263
chegg.com
Solved 3. The Nested Interval Theorem Suppose that (an) and | Chegg.com
700×186
chegg.com
Solved Theorem 4.8 (The Nested Interval Property) For each n | Chegg.com
594×97
chegg.com
Solved 8. Use the nested interval theorem to give a new | Chegg.com
1613×367
chegg.com
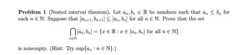
Solved Problem 1 (Nested interval theorem). Let an,bn∈R be | Chegg.com
1920×525
chegg.com
Solved 1. Show that the Nested Interval Theorem is false for | Chegg.com
1310×304
chegg.com
Solved Problem 1 Let us use the nested interval theorem to | Chegg.com
1642×796
chegg.com
Solved 9. Recall that the Nested Interval Theorem from above | Chegg.com
685×303
Chegg
Exercise 2.6.6. (a) Assume the Nested Interval | Chegg.com
700×598
chegg.com
Solved #7. A theorem known as the Nested Intervals Theorem …
Some results have been hidden because they may be inaccessible to you.
Show inaccessible results
Report an inappropriate content
Please select one of the options below.
Not Relevant
Offensive
Adult
Child Sexual Abuse
Feedback