The photos you provided may be used to improve Bing image processing services.
Privacy Policy
|
Terms of Use
Can't use this link. Check that your link starts with 'http://' or 'https://' to try again.
Unable to process this search. Please try a different image or keywords.
Try Visual Search
Search, identify objects and text, translate, or solve problems using an image
Drag one or more images here,
upload an image
or
open camera
Drop images here to start your search
To use Visual Search, enable the camera in this browser
All
Search
Images
Inspiration
Create
Collections
Videos
Maps
News
More
Shopping
Flights
Travel
Notebook
Top suggestions for Find the Limit of Square Root Function
Factoring
Square Roots
Square Root
Derivative
Rationalize
Square Root
Rationalizing
Square Roots
Limit of a
Square Root Function
Evaluate
Limits
Square Root Function
Definition
Evaluating
Limits
Square Root
Integration
Derivative of Square Root
X
How to Solve
Square Roots
Conjugate
of Square Root
Square Root
Calculations
Square Roots
Up to 20
Negative
Square Root Function
Limits
Examples
Opposite
of Square Root
Limits
at Infinity
Derivative of
Cube Root
Square Root of
0
Square Root
Example Problems
Multivariable
Limits
Limits
and Conjugates
Limits
Calculus Examples
Square Root Limit
Law
Is Square Root
Rational
How to Solve for
Limits
How to Find the
Derivative of a Square Root
Limit Question
Square Root
Square Root
Terms
Explore more searches like Find the Limit of Square Root Function
Function
0
How
Find
Example
As
Approach
Laws
For
How
Know
How
Determine
Over
Problem
How
Solve
Function Cannot
Be Evaluated
Autoplay all GIFs
Change autoplay and other image settings here
Autoplay all GIFs
Flip the switch to turn them on
Autoplay GIFs
Image size
All
Small
Medium
Large
Extra large
At least... *
Customized Width
x
Customized Height
px
Please enter a number for Width and Height
Color
All
Color only
Black & white
Type
All
Photograph
Clipart
Line drawing
Animated GIF
Transparent
Layout
All
Square
Wide
Tall
People
All
Just faces
Head & shoulders
Date
All
Past 24 hours
Past week
Past month
Past year
License
All
All Creative Commons
Public domain
Free to share and use
Free to share and use commercially
Free to modify, share, and use
Free to modify, share, and use commercially
Learn more
Clear filters
SafeSearch:
Moderate
Strict
Moderate (default)
Off
Filter
Factoring
Square Roots
Square Root
Derivative
Rationalize
Square Root
Rationalizing
Square Roots
Limit of a
Square Root Function
Evaluate
Limits
Square Root Function
Definition
Evaluating
Limits
Square Root
Integration
Derivative of Square Root
X
How to Solve
Square Roots
Conjugate
of Square Root
Square Root
Calculations
Square Roots
Up to 20
Negative
Square Root Function
Limits
Examples
Opposite
of Square Root
Limits
at Infinity
Derivative of
Cube Root
Square Root of
0
Square Root
Example Problems
Multivariable
Limits
Limits
and Conjugates
Limits
Calculus Examples
Square Root Limit
Law
Is Square Root
Rational
How to Solve for
Limits
How to Find the
Derivative of a Square Root
Limit Question
Square Root
Square Root
Terms
1051×485
Stack Exchange
calculus - Limit of a function containing square root. - Mathematics Stack Exchange
1280×927
docsity.com
Limit solved by eliminating square root - Docsity
1188×454
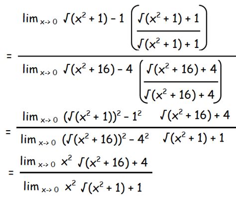
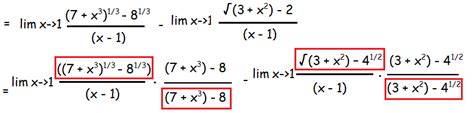
Stack Exchange
calculus - Limit of a function containing square root. - Mathematics Stack Exchange
609×385
calculatorlimit.com
Limit with Square Root Calculator with Steps - Online & Free!
Related Products
Math Square Roots
Solve for Square Root
Square Root Formula
3780×1965
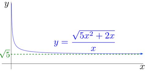
storyofmathematics.com
Range of Square Root Function - Understanding its Limits and Behavior
1280×837
docsity.com
Limit solved by eliminating square root - Docsity
751×179
Physics Forums
Finding Limit As X Approaches Infinite Of Square Root Function • Physics Forums
640×1985
www.reddit.com
Limit for square root function : …
1356×634
Stack Exchange
evaluation of recurring limit within square root. - Mathematics Stack Exchange
1388×780
Facebook
Limit as x approaches 2 from the right of square root of (x-2)/(x^2-4) | Find a one-sided limit ...
450×424
homework.study.com
Find the following one-sided limit. lim_{x to 1^-} square r…
Explore more searches like
Find the
Limit of Square Root
Function
Function
0
How Find
Example
As Approach
Laws For
How Know
How Determine
Over
Problem
How Solve
Function Cannot Be E
…
1200×460
chegg.com
Solved How can I calculate the limit of the square root of | Chegg.com
1170×295
www.reddit.com
How to approach a limit with a square root, as well as proving limits with only variables given ...
2048×1065
storyofmathematics.com
How to Find the Limit of a Function - A Step-by-Step Guide
1024×805
storyofmathematics.com
How to Find the Limit of a Function - A Step-by-Step G…
1680×2352
Stack Exchange
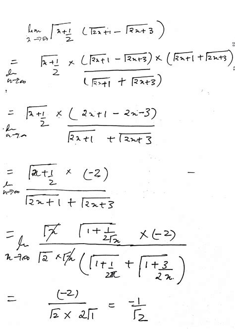
radicals - A limit involving squa…
1403×2113
Stack Exchange
radicals - A limit involving squa…
1280×720
blogspot.com
World of Math Online: HOW TO FIND THE LIMIT OF A FUNCTION ALGEBRAICALLY
1280×720
mathdoubts.com
Evaluate lim x → 0 x/√x+4-2 by Rationalization | Rationalisation
565×277
matheno.com
Limit at Infinity Problems with Square Roots - Matheno.com | Matheno.com
1268×245
chegg.com
Solved Find the limit of the function | Chegg.com
564×572
mech.poriyaan.in
Limit of a Function - Definition, Theorem, Solv…
1972×472
chegg.com
Solved Find the limit of the function | Chegg.com
480×360
forbeskiyaan.blogspot.com
Find the limit
1197×1200
discover.hubpages.com
Math: How to Find the Limit of a Function - HubPages
1200×675
www.pinterest.com
Limit Laws and Evaluating Limits
488×407
onlinemath4all.com
Evaluating Limits With Square Roots
800×191
onlinemath4all.com
Evaluating Limits With Square Roots
444×187
math.stackexchange.com
Calculus - Solving limits with square roots - Mathematics Stack Exchange
428×524
math.stackexchange.com
Solving Math Limits Questions with Sq…
1028×776
support.khanacademy.org
Limits at infinity of quotients with square roots – Khan Academy H…
1668×2317
www.reddit.com
Limits with square roots (rational ex…
480×360
www.youtube.com
Limits: Square Roots - YouTube
1280×720
YouTube
Limit of Square Root Functions - YouTube
1280×720
www.youtube.com
Limit of Square Root Quotient - YouTube
Some results have been hidden because they may be inaccessible to you.
Show inaccessible results
Report an inappropriate content
Please select one of the options below.
Not Relevant
Offensive
Adult
Child Sexual Abuse
Feedback