The photos you provided may be used to improve Bing image processing services.
Privacy Policy
|
Terms of Use
Can't use this link. Check that your link starts with 'http://' or 'https://' to try again.
Unable to process this search. Please try a different image or keywords.
Try Visual Search
Search, identify objects and text, translate, or solve problems using an image
Drag one or more images here,
upload an image
or
open camera
Drop images here to start your search
To use Visual Search, enable the camera in this browser
All
Search
Images
Inspiration
Create
Collections
Videos
Maps
News
More
Shopping
Flights
Travel
Notebook
Top suggestions for Modified Atwood Machine Physics
Atwood's Machine
Compound
Atwood Machine
Atwood Machine
Equation
Atwood Machine
Diagram
Atwood's Machine
Drawing
Double
Atwood Machine
Atwood Machine
Formula
Tension in
Atwood Machine
Free Body Diagram for
Atwood Machine
Atwood's Machine
Free Body
Atwood Machine
Acceleration Formula
Modified Atwood Machine
Pulley
Atwood Machine
Atwood's
Apparatus
Atwood
in Physics
Atwood Machine
with Spring
Half
Atwood Machine
Atwood Machine
Experiment
Atwood Machine
with Pulley Mass
Atwood's Machine
Lab
Atwood Machine
Example
Incline
Atwood Machine
What Is
Atwood Machine
Parts of an
Atwood Machine
Atwood Machine
On Table
Atwood Machine
Angular Momentum
Al Woods
Machine
Horizontal
Atwood Machine
3 Mass
Atwood Machine
Lagrangian
Atwood Machine
Atwood Machine
Figure
Pasco
Atwood Machine
Atwods
Machine
Tilted Half
Atwood Machine
Modern Atwood's Machine Physics
Drawing
Atwood Machine
Demonstration
Atwood Machine
Force Diagram
Atwood Machine
2 Pulleys
Atwood Machine
Three Masses
Physics
Lab Timer for Atwood's Machine Diagram
Laboratory
Atwood Machine
Atwood
Pulley System
Atwood's Machine
Drwaling
Atwood's Machine
Formula Velocity
Atwood's Machine
College
Atwood Machine
Matric Physics
Atwood Machine
Vectors
Atwood Machine Physics
Equations
Atwood Machine
with Rotational Inertia
Atwood Machine
with Massive Pulley
Explore more searches like Modified Atwood Machine Physics
Force
Diagram
Real Life
Examples
Equation for
Tension
People interested in Modified Atwood Machine Physics also searched for
Rotational
Inertia
Physics
Equations
Motion
Sensor
Spring
Scale
Pulley
Clamp
Moment
Inertia
Inclined
Plane
Apparatus Physics
Lab
Elevator
Diagram
2
Rolls
Clip
Art
Acceleration
Equation
Tension
Force
5
Pulley
Two
Wheels
Elevator
Cart
Moving
Maaa 1
Mass 2
Inertia
Lab
Wallpaper
Spring
Lab
Avary
Peculiar
Second
Order
For
Zero
Gizmo
Lab
Examples
Static
Motion
Photogate
Autoplay all GIFs
Change autoplay and other image settings here
Autoplay all GIFs
Flip the switch to turn them on
Autoplay GIFs
Image size
All
Small
Medium
Large
Extra large
At least... *
Customized Width
x
Customized Height
px
Please enter a number for Width and Height
Color
All
Color only
Black & white
Type
All
Photograph
Clipart
Line drawing
Animated GIF
Transparent
Layout
All
Square
Wide
Tall
People
All
Just faces
Head & shoulders
Date
All
Past 24 hours
Past week
Past month
Past year
License
All
All Creative Commons
Public domain
Free to share and use
Free to share and use commercially
Free to modify, share, and use
Free to modify, share, and use commercially
Learn more
Clear filters
SafeSearch:
Moderate
Strict
Moderate (default)
Off
Filter
Atwood's Machine
Compound
Atwood Machine
Atwood Machine
Equation
Atwood Machine
Diagram
Atwood's Machine
Drawing
Double
Atwood Machine
Atwood Machine
Formula
Tension in
Atwood Machine
Free Body Diagram for
Atwood Machine
Atwood's Machine
Free Body
Atwood Machine
Acceleration Formula
Modified Atwood Machine
Pulley
Atwood Machine
Atwood's
Apparatus
Atwood
in Physics
Atwood Machine
with Spring
Half
Atwood Machine
Atwood Machine
Experiment
Atwood Machine
with Pulley Mass
Atwood's Machine
Lab
Atwood Machine
Example
Incline
Atwood Machine
What Is
Atwood Machine
Parts of an
Atwood Machine
Atwood Machine
On Table
Atwood Machine
Angular Momentum
Al Woods
Machine
Horizontal
Atwood Machine
3 Mass
Atwood Machine
Lagrangian
Atwood Machine
Atwood Machine
Figure
Pasco
Atwood Machine
Atwods
Machine
Tilted Half
Atwood Machine
Modern Atwood's Machine Physics
Drawing
Atwood Machine
Demonstration
Atwood Machine
Force Diagram
Atwood Machine
2 Pulleys
Atwood Machine
Three Masses
Physics
Lab Timer for Atwood's Machine Diagram
Laboratory
Atwood Machine
Atwood
Pulley System
Atwood's Machine
Drwaling
Atwood's Machine
Formula Velocity
Atwood's Machine
College
Atwood Machine
Matric Physics
Atwood Machine
Vectors
Atwood Machine Physics
Equations
Atwood Machine
with Rotational Inertia
Atwood Machine
with Massive Pulley
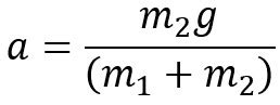
259×88
stickmanphysics.com
Modified Atwood Machines - StickMan Physics
GIF
640×480
stickmanphysics.com
Modified Atwood Machines - StickMan Physics
212×300
stickmanphysics.com
Modified Atwood Machines - Stic…
300×183
stickmanphysics.com
Modified Atwood Machines - StickMan Physics
Related Products
Atwood Machine Kit
Lab Equipment
Textbook
148×69
stickmanphysics.com
Modified Atwood Machines - Stick…
804×534
stickmanphysics.com
Modified Atwood Machines - StickMan Physics
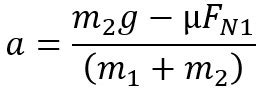
258×97
stickmanphysics.com
Modified Atwood Machines - StickMan Physics
300×185
stickmanphysics.com
Modified Atwood Machines - StickMan Physics
300×180
stickmanphysics.com
Modified Atwood Machines - StickMan Physics
270×88
stickmanphysics.com
Modified Atwood Machines - StickMan Physics
348×345
ucsc.edu
Atwood Machine | UCSC Physics Demo…
283×400
Physics Forums
Potential Energy of Modified At…
616×257
jacobsphysics.blogspot.com
Jacobs Physics: Modified Atwood machine that *slows down*
364×322
Stack Exchange
homework and exercises - Potential Energy in modif…
Explore more searches like
Modified Atwood Machine
Physics
Force Diagram
Real Life Examples
Equation for Tension
604×468
Stack Exchange
newtonian mechanics - Conceptual help with a modifi…
1280×1656
docsity.com
Modified Atwood Machine Lab - …
300×200
thephysicsaviary.com
Atwood Machine Lab
942×625
Stack Exchange
newtonian mechanics - Atwood machine: force on pulley - Physics S…
640×480
oceanproperty.co.th
AP Physics Workbook Modified Atwood Machines, 51% OFF
686×386
oceanproperty.co.th
AP Physics Workbook Modified Atwood Machines, 51% OFF
720×540
SlideServe
PPT - Modified Atwood’s Machine Lab PowerPoint Presentation, free downl…
969×1024
chegg.com
Solved Modified Atwood's Machine. Mathematicia…
1286×936
chegg.com
Solved 1. Suppose an Atwood machine and modified Atwood | Chegg.com
735×650
www.pinterest.com
Atwood Machine | Physics help, Physics, Machine video
599×634
aplusphysics.com
Atwood Machines
271×350
www.teacherspayteachers.com
Physics lab - modified Atwood's machine by …
1000×1000
modern-physics.org
Atwood's Machine | Physics, Motion & Mechanics Explained
768×1024
scribd.com
2J Modified Atwood Machines | PDF | Mec…
480×640
chegg.com
Solved AP Physics 1 2.J. …
864×864
chegg.com
Solved Atwood's Machine M1 Conside…
660×536
Chegg
Solved In the modified Atwood machine shown in (Figure 1…
700×570
chegg.com
Solved 4) A modified Atwood's machine is constructed as | …
700×197
chegg.com
Solved In the modified Atwood machine shown above, a large | Chegg.com
People interested in
Modified
Atwood Machine
Physics
also searched for
Rotational Inertia
Physics Equations
Motion Sensor
Spring Scale
Pulley Clamp
Moment Inertia
Inclined Plane
Apparatus Physics Lab
Elevator Diagram
2 Rolls
Clip Art
Acceleration Equation
1280×720
schematichatalukuc3r.z21.web.core.windows.net
Modified Atwood Machine Force Diagram Modified Atwoods Machi
645×475
chegg.com
Solved In this scenario, we have a modified Atwood machine | Chegg.com
Some results have been hidden because they may be inaccessible to you.
Show inaccessible results
Report an inappropriate content
Please select one of the options below.
Not Relevant
Offensive
Adult
Child Sexual Abuse
Feedback