The photos you provided may be used to improve Bing image processing services.
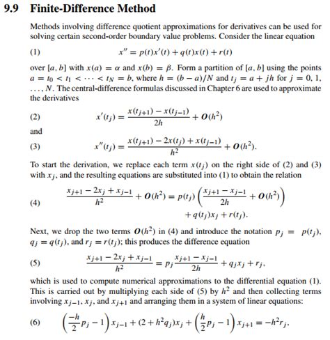
Privacy Policy
|
Terms of Use
Can't use this link. Check that your link starts with 'http://' or 'https://' to try again.
Unable to process this search. Please try a different image or keywords.
Try Visual Search
Search, identify objects and text, translate, or solve problems using an image
Drag one or more images here,
upload an image
or
open camera
Drop images here to start your search
To use Visual Search, enable the camera in this browser
All
Search
Images
Inspiration
Create
Collections
Videos
Maps
News
More
Shopping
Flights
Travel
Notebook
Autoplay all GIFs
Change autoplay and other image settings here
Autoplay all GIFs
Flip the switch to turn them on
Autoplay GIFs
Image size
All
Small
Medium
Large
Extra large
At least... *
Customized Width
x
Customized Height
px
Please enter a number for Width and Height
Color
All
Color only
Black & white
Type
All
Photograph
Clipart
Line drawing
Animated GIF
Transparent
Layout
All
Square
Wide
Tall
People
All
Just faces
Head & shoulders
Date
All
Past 24 hours
Past week
Past month
Past year
License
All
All Creative Commons
Public domain
Free to share and use
Free to share and use commercially
Free to modify, share, and use
Free to modify, share, and use commercially
Learn more
Clear filters
SafeSearch:
Moderate
Strict
Moderate (default)
Off
Filter
768×1024
scribd.com
Finite Difference | PDF | Finite Diffe…
700×641
chegg.com
Use the finite-difference approach to solve the | Ch…
850×361
researchgate.net
Boundary conditions and finite difference network used in parametric... | Download Scientific ...
1029×460
Stack Exchange
How to solve the Boundary value problem using finite difference method - Mathematics Stack Exchange
320×320
researchgate.net
Finite difference model and boundar…
746×395
researchgate.net
Finite difference model and boundary conditions. | Download Scientific Diagram
1494×380
chegg.com
Solved 3. Use the finite-difference approach to numerically | Chegg.com
700×147
chegg.com
Solved 3. Use the finite-difference approach to numerically | Chegg.com
1024×349
numerade.com
question 4 use finite difference method to solve the following boundary value problem with the ...
616×122
chegg.com
Solved Q2: Solve the boundary value problem using finite | Chegg.com
629×122
chegg.com
Solved 22: Solve the boundary value problem using finite | Chegg.com
948×196
chegg.com
Solved Using finite difference method to solve the following | Chegg.com
592×736
chegg.com
Solved Solve the following bounda…
1024×353
Chegg
Solved Problem 2. Solve the following boundary value problem | Chegg.com
1604×1090
Stack Exchange
matrices - Trouble in using finite difference method to solve a bound…
147×147
researchgate.net
Boundary conditions usin…
850×599
researchgate.net
Finite difference grid and boundary conditions. | Downl…
700×525
chegg.com
Solved Write a MATLAB code to solve the following bound…
934×788
chegg.com
How to solve two point boundary problem usin…
850×138
researchgate.net
Boundary conditions using finite differences. | Download Scientific Diagram
850×547
researchgate.net
Finite-difference grid and boundary conditions | Download Scientific Diagram
972×822
chegg.com
Solved Problem 1. Using the finite difference method to | Ch…
320×320
researchgate.net
The finite difference grid with boundary conditions …
783×432
researchgate.net
Finite-difference grid and boundary conditions of modelled domain. | Download Scientific Diagram
1700×1587
nm-pde-iitb.vlabs.ac.in
Virtual Labs
677×180
Chegg
Use the finite difference method to solve the | Chegg.com
650×175
Chegg
Use the finite difference method to solve the | Chegg.com
1714×405
chegg.com
Solved Solve the following boundary value problems by finite | Chegg.com
544×561
www.reddit.com
Finite difference to solve boundary valu…
698×221
chegg.com
Use the finite difference method to solve the | Chegg.com
679×400
researchgate.net
Finite difference model nodes and boundary conditions | Download Scient…
850×421
researchgate.net
Finite difference model and boundary conditions: (a) Mode of the tunnel... | Downlo…
800×800
math.stackexchange.com
How many boundary conditions do I need to us…
700×344
chegg.com
Solved 16) Using the finite difference method to approximate | Chegg.com
779×705
chegg.com
Solved 17) Using the finite difference method to approxi…
Some results have been hidden because they may be inaccessible to you.
Show inaccessible results
Report an inappropriate content
Please select one of the options below.
Not Relevant
Offensive
Adult
Child Sexual Abuse
Feedback