The photos you provided may be used to improve Bing image processing services.
Privacy Policy
|
Terms of Use
Can't use this link. Check that your link starts with 'http://' or 'https://' to try again.
Unable to process this search. Please try a different image or keywords.
Try Visual Search
Search, identify objects and text, translate, or solve problems using an image
Drag one or more images here,
upload an image
or
open camera
Drop images here to start your search
To use Visual Search, enable the camera in this browser
All
Search
Images
Inspiration
Create
Collections
Videos
Maps
News
More
Shopping
Flights
Travel
Notebook
Top suggestions for Mathcad Prime Icon
Mathcad Prime
Logo
Mathcad Icon
Mathcad
ICO Icon
Mathcad Prime
Table
Mathcad
Icon.png
PTC Mathcad
Logo
Mathcad
Primel Logo
Mathcad
Desktop Icon
Mathcad
Green Frame
Explore more searches like Mathcad Prime Icon
1.0
Icon
9
Logo
Piecewise
Function
Lookup
Function
Cheat
Sheet
Greek
Symbols
Icon Transparent
Background
Empty
Matrix
IF
Function
Slab
Design
Logo
png
Natural
Log
White
Background
Insert
Symbol
Bode
Plot
Draw
Square
Find
Function
For
Loop
7
Logo
9 0
Logo
Fourier
Transform
Monte
Carlo
Greek
Letters
Templates
Worksheet
8 Chart
Icon
6
Download
Polyroots
8
Screenshots
20
Equationbreak
5
UI
Tables
£5
Crack
7
Icon
9 Release
Date
8
Worksheets
Square
Root
People interested in Mathcad Prime Icon also searched for
Matrix
Creation
Tangent
7 3D
Plot
Shortcuts
Usar If Con
Range
RC
Design
8
Crack
Matrix
Simplified
Array
8 Vector
Field
Heat
Map
Error
5
Autoplay all GIFs
Change autoplay and other image settings here
Autoplay all GIFs
Flip the switch to turn them on
Autoplay GIFs
Image size
All
Small
Medium
Large
Extra large
At least... *
Customized Width
x
Customized Height
px
Please enter a number for Width and Height
Color
All
Color only
Black & white
Type
All
Photograph
Clipart
Line drawing
Animated GIF
Transparent
Layout
All
Square
Wide
Tall
People
All
Just faces
Head & shoulders
Date
All
Past 24 hours
Past week
Past month
Past year
License
All
All Creative Commons
Public domain
Free to share and use
Free to share and use commercially
Free to modify, share, and use
Free to modify, share, and use commercially
Learn more
Clear filters
SafeSearch:
Moderate
Strict
Moderate (default)
Off
Filter
Mathcad Prime
Logo
Mathcad Icon
Mathcad
ICO Icon
Mathcad Prime
Table
Mathcad
Icon.png
PTC Mathcad
Logo
Mathcad
Primel Logo
Mathcad
Desktop Icon
Mathcad
Green Frame
320×94
trademarkia.com
Parametric Technology Corporation, PTC INC. Trademark of MATHCAD PRIME | …
900×450
mathcad.com
What’s in Mathcad Prime 7? | PTC | Mathcad
1280×720
fity.club
Mathcad Prime
1280×720
fity.club
Mathcad Prime
600×280
mathcad.com
Long-Time Mathcad User Shares His Favorite Mathcad Prime 9 Enhancements | Mathcad
235×300
chemweb.ir
Download PTC Mathcad Prim…
394×170
community.ptc.com
Solved: Mathcad prime programming - PTC Community
300×300
fity.club
Mathcad Prime
1200×1549
yumpu.com
Programming with Mathcad Prime…
1917×1080
samlasopa183.weebly.com
Mathcad prime 5-0 download - samlasopa
72×72
en.freedownloadmanager.org
Mathcad Prime (free version) …
1280×720
fity.club
Mathcad Prime
Explore more searches like
Mathcad Prime
Icon
1.0 Icon
9 Logo
Piecewise Function
Lookup Function
Cheat Sheet
Greek Symbols
Icon Transparent
…
Empty Matrix
IF Function
Slab Design
Logo png
Natural Log
1280×720
fity.club
Mathcad Prime
251×250
fity.club
Mathcad Prime
1024×1024
3hti.com
What’s New in Mathcad Prime 10? | 3HTi PTC Pa…
3840×2160
defkey.com
Mathcad Prime 6.0 keyboard shortcuts ‒ DefKey
872×574
community.ptc.com
Suggestion for Mathcad Prime 10 - PTC Community
750×500
fity.club
Mathcad Prime Mathcad Prime 1.0 Download (Free Trial)
1920×933
community.ptc.com
Mathcad Prime 7.0 - PTC Community
686×604
ResearchGate
Mathematic model in MathCad Prime. | Downlo…
535×687
alfasoft.com
What’s new in PTC Mathcad Prime 9 - Alfasoft
270×139
alfasoft.com
What’s new in PTC Mathcad Prime 9 - Alfasoft
2135×2134
mathcad-store.co.uk
Mathcad Prime: Free vs Paid — Mathcad Store
3556×919
community.ptc.com
Symbol math Prime and Mathcad 15 - PTC Community
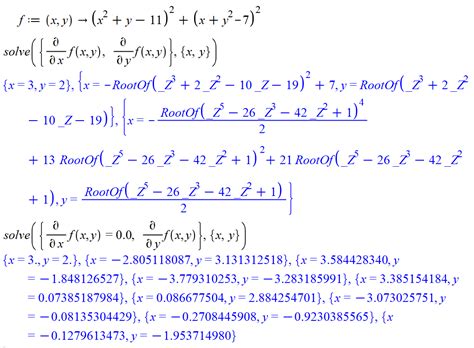
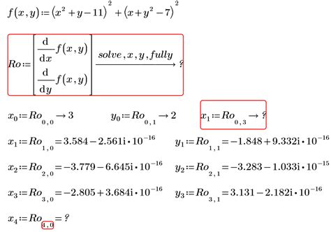
2042×1022
community.ptc.com
Symbol math Prime and Mathcad 15 - PTC Community
1266×887
community.ptc.com
Symbol math Prime and Mathcad 15 - PTC Community
1099×808
community.ptc.com
Symbol math Prime and Mathcad 15 - PTC Community
763×731
community.ptc.com
Symbol math Prime and Mathcad 15 - PTC Comm…
People interested in
Mathcad Prime
Icon
also searched for
Matrix Creation
Tangent
7 3D Plot
Shortcuts
Usar If Con Range
RC Design
8 Crack
Matrix
Simplified
Array
8 Vector Field
Heat Map
1776×807
community.ptc.com
Symbol math Prime and Mathcad 15 - PTC Community
1920×1080
mathcad.eu
Mathcad Prime 10 - Student License for 1 year | SPN-TL7534-L-
1233×947
www.engineering.com
A quick look at PTC Mathcad Prime 10 - En…
1628×156
mathcad.com
What's New In Mathcad Prime 7 | Mathcad
600×450
pdsvision.com
Solve your most complex problems with the new Mathcad Prime 9
1726×1338
community.ptc.com
Solved: Mathcad Prime 8.0.0.0 Symbols - PTC Community
710×535
community.ptc.com
Solved: Mathcad Prime 8.0.0.0 Symbols - PTC Community
Some results have been hidden because they may be inaccessible to you.
Show inaccessible results
Report an inappropriate content
Please select one of the options below.
Not Relevant
Offensive
Adult
Child Sexual Abuse
Feedback