The photos you provided may be used to improve Bing image processing services.
Privacy Policy
|
Terms of Use
Can't use this link. Check that your link starts with 'http://' or 'https://' to try again.
Unable to process this search. Please try a different image or keywords.
Try Visual Search
Search, identify objects and text, translate, or solve problems using an image
Drag one or more images here,
upload an image
or
open camera
Drop images here to start your search
To use Visual Search, enable the camera in this browser
All
Search
Images
Inspiration
Create
Collections
Videos
Maps
News
More
Shopping
Flights
Travel
Notebook
Top suggestions for DFT 8-Bit Matrix
8 Point
DFT Matrix
DFT Matrix
Form
4 Point
DFT Matrix
Inverse
DFT
4x4
DFT Matrix
6 Point
DFT Matrix
DFT
Equation
DFT
Formula
DFT
Table
DFT
Plot
DFT Matrix
Method
3-Point
DFT Matrix
DFT Matrix
FFT
Fourier
Matrix
Idft
DFT
vs FFT
5 Point
DFT Matrix
DFT
Algorithm
2D
DFT Matrix
DFT
Full Form
2D DFT
Symmetry
2-Point DFT
DFT
Vector
Fourier Transform
Matrix
Discrete Fourier Transform
DFT
DFT Matrix
1.6
Inverse
Dtft
DFT Matrix
for N 4
Output
DFT Matrix
Plotting
FFT
DFT Matrix
Multiplication
2X2
DFT Matrix
DFT Matrix
Operation
3X3
DFT Matrix
DFT Matrix
Rechner
1D
DFT
5X5
DFT Matrix
DFT
Example
6X6
DFT Matrix
DFT Matrix
10
DFT
Pairs
Idtft
4 Point
DFT Using Matrix
DFT
Properties
Matrix DFT
Meter
Nxm
Matrix
DFT Matrix
in E Powers
Dit
FFT
Adjugate
Matrix
Kernel Matrix
for DFT
Explore more searches like DFT 8-Bit Matrix
Discrete Fourier
Transform
What Is
Value
8-Bit
Fourier
5
Point
Permutation
8
Point
Method
4$
9-Point
Invertible
Table
2-Point
Latex
Form
Find
Find
2D
People interested in DFT 8-Bit Matrix also searched for
For 8
Point
Filter
Banks
How
Apply
Conjugate
Inverse
4th
Power
Relation
Transform
Table for
4 Point
Transformation
Representation
Adjoint
Transformation
Representation
Circle
Autoplay all GIFs
Change autoplay and other image settings here
Autoplay all GIFs
Flip the switch to turn them on
Autoplay GIFs
Image size
All
Small
Medium
Large
Extra large
At least... *
Customized Width
x
Customized Height
px
Please enter a number for Width and Height
Color
All
Color only
Black & white
Type
All
Photograph
Clipart
Line drawing
Animated GIF
Transparent
Layout
All
Square
Wide
Tall
People
All
Just faces
Head & shoulders
Date
All
Past 24 hours
Past week
Past month
Past year
License
All
All Creative Commons
Public domain
Free to share and use
Free to share and use commercially
Free to modify, share, and use
Free to modify, share, and use commercially
Learn more
Clear filters
SafeSearch:
Moderate
Strict
Moderate (default)
Off
Filter
8 Point
DFT Matrix
DFT Matrix
Form
4 Point
DFT Matrix
Inverse
DFT
4x4
DFT Matrix
6 Point
DFT Matrix
DFT
Equation
DFT
Formula
DFT
Table
DFT
Plot
DFT Matrix
Method
3-Point
DFT Matrix
DFT Matrix
FFT
Fourier
Matrix
Idft
DFT
vs FFT
5 Point
DFT Matrix
DFT
Algorithm
2D
DFT Matrix
DFT
Full Form
2D DFT
Symmetry
2-Point DFT
DFT
Vector
Fourier Transform
Matrix
Discrete Fourier Transform
DFT
DFT Matrix
1.6
Inverse
Dtft
DFT Matrix
for N 4
Output
DFT Matrix
Plotting
FFT
DFT Matrix
Multiplication
2X2
DFT Matrix
DFT Matrix
Operation
3X3
DFT Matrix
DFT Matrix
Rechner
1D
DFT
5X5
DFT Matrix
DFT
Example
6X6
DFT Matrix
DFT Matrix
10
DFT
Pairs
Idtft
4 Point
DFT Using Matrix
DFT
Properties
Matrix DFT
Meter
Nxm
Matrix
DFT Matrix
in E Powers
Dit
FFT
Adjugate
Matrix
Kernel Matrix
for DFT
768×1024
scribd.com
DFT Matrix | PDF | Discrete Fouri…
497×109
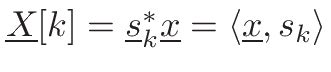
Stanford University
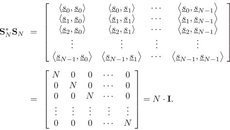
Matrix Formulation of the DFT
331×72
Stanford University
Matrix Formulation of the DFT
1392×791
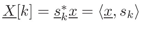
Stanford University
Matrix Formulation of the DFT
Related Products
DFT Matrix 4x4
Fast Fourier Transform
Discrete Fourier Transform Matr…
1144×670
Stanford University
Matrix Formulation of the DFT
363×107
Stanford University
Matrix Formulation of the DFT
681×208
Stanford University
Matrix Formulation of the DFT
1184×678
en.wikipedia.org
DFT matrix - Wikipedia
1445×330
Stanford University
Matrix Formulation of the DFT
739×753
ResearchGate
RF beam patterns of (a) DFT matrix t,DFT,1 A , (…
447×447
ResearchGate
RF beam patterns of (a) DFT matrix t,DFT,1 A , (…
Explore more searches like
DFT
8-Bit
Matrix
Discrete Fourier Tran
…
What Is Value
8-Bit
Fourier
5 Point
Permutation
8 Point
Method
4$
9-Point
Invertible
Table
768×1024
scribd.com
DFT Matrix - Wikipedia | PD…
638×359
SlideShare
Computing DFT using Matrix method | PPT
638×359
slideshare.net
Computing DFT using Matrix method | PDF
638×359
slideshare.net
Computing DFT using Matrix method | PDF
638×359
slideshare.net
Computing DFT using Matrix method | PDF
2048×1152
slideshare.net
Computing DFT using Matrix method | PDF
2048×1152
slideshare.net
Computing DFT using Matrix method | PDF
652×245
chegg.com
Solved Consider an 8 point DFT: 1. Obtain DFT matrix for an | Chegg.com
640×480
slideshare.net
Computing DFT using Matrix method | PDF
640×480
slideshare.net
Computing DFT using Matrix method | PDF
1024×336
numerade.com
5 DFT matrix 1. Calculate the 8 ×8 matrix for the size 8 DFT 2. Calculate the 8 ×8 matrix fo…
640×480
slideshare.net
Computing DFT using Matrix method | PDF
602×217
quora.com
What is a DFT matrix? - Quora
1292×920
dsp.stackexchange.com
sampling - DFT Matrix Oversampled In Frequency? - Signal Processin…
560×420
blogs.mathworks.com
The DFT matrix and computation time » Steve on Image Processi…
People interested in
DFT
8-Bit
Matrix
also searched for
For 8 Point
Filter Banks
How Apply
Conjugate
Inverse
4th Power
Relation
Transform
Table for 4 Point
Transformation
Representation
Adjoint Transformation
759×267
chegg.com
Solved Problem 3.1 Find 8x8 DFT matrix using dftmtx and | Chegg.com
1392×323
chegg.com
Solved DFT matrix calculation question x(n)=[1,2], | Chegg.com
1280×720
Stack Exchange
matrices - What is the Permutation Matrix in FFT DFT Factorization? - Mathematics Stack Exchange
2048×2898
slideshare.net
8 point DFT | TXT | Programming …
588×430
researchgate.net
The DFT graph of the channel matrix is estimated by the algorithm. | Dow…
850×320
researchgate.net
The matrix DFT N and a visualization of its real and imaginary parts... | Download Scientific ...
600×387
researchgate.net
DFT of D-Matrix without target (top) and with target (bottom) for... | Download Scientific …
430×255
researchgate.net
Radix-2 DFT structure for 8-point FFT | Download Scientific Diagram
720×540
slidetodoc.com
DFT and FFT FFT is an algorithm to
Some results have been hidden because they may be inaccessible to you.
Show inaccessible results
Report an inappropriate content
Please select one of the options below.
Not Relevant
Offensive
Adult
Child Sexual Abuse
Feedback