The photos you provided may be used to improve Bing image processing services.
Privacy Policy
|
Terms of Use
Can't use this link. Check that your link starts with 'http://' or 'https://' to try again.
Unable to process this search. Please try a different image or keywords.
Try Visual Search
Search, identify objects and text, translate, or solve problems using an image
Drag one or more images here,
upload an image
or
open camera
Drop images here to start your search
To use Visual Search, enable the camera in this browser
All
Search
Images
Inspiration
Create
Collections
Videos
Maps
News
More
Shopping
Flights
Travel
Notebook
Top suggestions for How to Find the Partial Sum Formula
Partial Sum
of Series
Partial Sums
Addition
Nth
Partial Sum
What Is a
Partial Sum
Partial Sums
Algorithm
Sequence of
Partial Sums
Partial Sums
Worksheet
Partial Sum
Equation
Partial
Geometric Sum
Partial Sums
Method
Nth
Partial Sum Formula
Partial Sums
Integral
Partial Sum
of Arithmetic Sequence
Partial Sum
Examples
How to Find the Sum
of Series
Partial Sum
Notation
What Are
Partial Sums
Partial Sum
for Geometric Series
How to
Do Sigma Notation
Sum
of Alternating Series
Partial Sums
Worksheet 2nd Grade
Expanded Form and
Partial Sums
Partial
Products Worksheet
How to
Compute Partial Sums
Partial Sum
Meaning
Series Sum
Calculator
Partial Sums
Worksheet 3rd Grade
Formula for Finding Sum
of Arithmetic Series
Partial Sum
Problems
Sum
of Infinite Arithmetic Series
Graphing
Partial Sums
Add with
Partial Sums
Partial
Summation Formula
How to Do a Partial
In-Kind Transfer
E as a
Sum
Sum
of a Serio ES
Partial Sums
Steps
How Do U
Find a Partial Sum
The Partial Sum
Formal
Sum
of Finite Geometric Series
General Formula of a
Partial Sum
Partial
Products Multiplication 4th Grade
Math with
Partial Sums
Partial Sum
Addition Anchor Chart
Partial Sums
Subtraction
Partial
SM Formula
Find the Sum
Then Estimate the Sum
Calculus
Sums
How to Get Partial
Geometric Sum
Partial Sum
Theorem
Autoplay all GIFs
Change autoplay and other image settings here
Autoplay all GIFs
Flip the switch to turn them on
Autoplay GIFs
Image size
All
Small
Medium
Large
Extra large
At least... *
Customized Width
x
Customized Height
px
Please enter a number for Width and Height
Color
All
Color only
Black & white
Type
All
Photograph
Clipart
Line drawing
Animated GIF
Transparent
Layout
All
Square
Wide
Tall
People
All
Just faces
Head & shoulders
Date
All
Past 24 hours
Past week
Past month
Past year
License
All
All Creative Commons
Public domain
Free to share and use
Free to share and use commercially
Free to modify, share, and use
Free to modify, share, and use commercially
Learn more
Clear filters
SafeSearch:
Moderate
Strict
Moderate (default)
Off
Filter
Partial Sum
of Series
Partial Sums
Addition
Nth
Partial Sum
What Is a
Partial Sum
Partial Sums
Algorithm
Sequence of
Partial Sums
Partial Sums
Worksheet
Partial Sum
Equation
Partial
Geometric Sum
Partial Sums
Method
Nth
Partial Sum Formula
Partial Sums
Integral
Partial Sum
of Arithmetic Sequence
Partial Sum
Examples
How to Find the Sum
of Series
Partial Sum
Notation
What Are
Partial Sums
Partial Sum
for Geometric Series
How to
Do Sigma Notation
Sum
of Alternating Series
Partial Sums
Worksheet 2nd Grade
Expanded Form and
Partial Sums
Partial
Products Worksheet
How to
Compute Partial Sums
Partial Sum
Meaning
Series Sum
Calculator
Partial Sums
Worksheet 3rd Grade
Formula for Finding Sum
of Arithmetic Series
Partial Sum
Problems
Sum
of Infinite Arithmetic Series
Graphing
Partial Sums
Add with
Partial Sums
Partial
Summation Formula
How to Do a Partial
In-Kind Transfer
E as a
Sum
Sum
of a Serio ES
Partial Sums
Steps
How Do U
Find a Partial Sum
The Partial Sum
Formal
Sum
of Finite Geometric Series
General Formula of a
Partial Sum
Partial
Products Multiplication 4th Grade
Math with
Partial Sums
Partial Sum
Addition Anchor Chart
Partial Sums
Subtraction
Partial
SM Formula
Find the Sum
Then Estimate the Sum
Calculus
Sums
How to Get Partial
Geometric Sum
Partial Sum
Theorem
1074×332
chegg.com
Solved Use the partial sum formula to find the partial sum | Chegg.com
1181×395
chegg.com
Solved Use the partial sum formula to find the partial sum | Chegg.com
1298×649
storyofmathematics.com
Partial Sum Formula - Definition, Applications, and Examples
800×630
storyofmathematics.com
Partial Sum Formula - Definition, Applications, and Examples
Related Products
Math Workbooks
Addition Flashcards
Multiplication Charts
2401×886
chegg.com
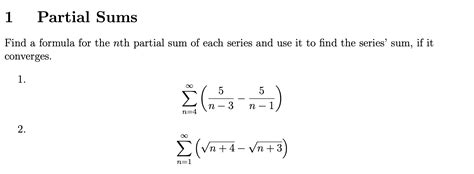
Solved 1 Partial Sums Find a formula for the nth partial sum | Chegg.com
1266×792
chegg.com
Solved Find a formula for the nth partial sum of the series | Chegg.com
749×170
Chegg
Solved Partial Sums Find a formula for the n^th partial sum | Chegg.com
604×604
chegg.com
Solved 3) Find Formula for the partial sum of the foll…
1661×539
chegg.com
Solved Find a formula for the nth partial sum Sn of | Chegg.com
701×1024
sumsq.com
Partial Sum Calculator - Su…
719×163
Stack Exchange
calculus - general formula for partial sum of series - Mathematics Stack Exchange
513×342
chegg.com
Solved How do I find the formula for the nth partial sum? | Chegg.com
1000×1294
worksheets.clipart-library.com
Free partial sum worksheet, Download Fr…
1280×720
worksheets.clipart-library.com
Free partial sum worksheet, Download Free partial sum worksheet png images, Free W…
700×204
chegg.com
Solved Find the sum using Arithmetic partial sum formula | Chegg.com
2130×2530
coursehero.com
[Solved] Find a formula for the nth …
304×392
worksheets.clipart-library.com
Partial Sum Addition (elem) R…
1000×713
worksheets.clipart-library.com
Partial Sums | Worksheet | Education.com - Worksheets Library
200×260
Math Worksheets 4 Kids
Partial Sum of the Series Worksheets
720×1080
worksheets.clipart-library.com
Partial Sums Addition Meth…
1520×800
calculatorshub.net
Series Partial Sum Calculator Online
940×680
abookshelfcorner.blogspot.com
Find The Partial Sum Calculator
909×345
chegg.com
Solved Given an = ., determine a formula for the partial sum | Chegg.com
1000×1000
kristakingmath.com
How to find the sum of a sequence of p…
2500×1667
kristakingmath.com
How to find the sum of a sequence of partial sums — K…
2448×3264
avsfashionproduct.blogspot.com
What Is A Partial Sum - avsfashi…
1024×458
numerade.com
SOLVED:Find a formula for the partial sums of the series. For each series, dete…
715×402
study.com
Understanding the nth Partial Sum Defined as the Sum of the First n Ter…
715×402
study.com
Finding the Partial Sum of an Arithmetic Series | Algebra | Study.com
715×402
study.com
Finding the Partial Sum of a Geometric Series | Algebra | Study.com
640×301
www.reddit.com
What is a partial sum? : r/calculus
257×56
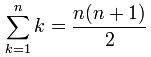
MATH
Partial Sums
304×59
MATH
Partial Sums
151×57
MATH
Partial Sums
190×60
MATH
Partial Sums
Some results have been hidden because they may be inaccessible to you.
Show inaccessible results
Report an inappropriate content
Please select one of the options below.
Not Relevant
Offensive
Adult
Child Sexual Abuse
Feedback