Can't use this link. Check that your link starts with 'http://' or 'https://' to try again.
Unable to process this search. Please try a different image or keywords.
Try Visual Search
Search, identify objects and text, translate, or solve problems using an image
Drag one or more images here,
upload an image
or
open camera
The photos you provided may be used to improve Bing image processing services.
Privacy Policy
|
Terms of Use
Drop image anywhere to start your search
To use Visual Search, enable the camera in this browser
All
Search
Images
Inspiration
Create
Collections
Videos
Maps
News
More
Shopping
Flights
Travel
Notebook
Top suggestions for Cosine Expanded Formula
Cosine Formula
Cosine Formula
Sheet
Cosine
Sum Formula
Cosine
Equation Formula
Cosine Formula
Hyponthes
Expanded Cosine
Form
Cosine
Triple Angle Formula
Directional
Cosine Formula
Cosine
Addition Formula
Sine and
Cosine Expanded Formula
Cosine
Series Expansion
Cosine
Prime Formula
Cosine Formula
Examples
Cosine
Complex Form
Cosine
Rule Equation
Cosine Formula
Sot
Cosine
F Rmula
Cosine
Function
Cosine
Exponential Form
Solved Cosine Formula
Example
Cosine
Formulq
Coline
Formula
Cosine Formula
Complex Plane
Expanding
Cosine
Cosine Formula
Multivariable Calculus
Cosine
Maclaurin Series
Cosinus Formule
Cocosisi
Cosine
of N a General Formula
Cosine
Distnace Formul
Solid Angle
Formula in Cosine
Sin Theta
Formula
Covercosine
Formula
Euler's Formula
for Sine and Cosine
Cosine
Numeral
Quarter Range
Cosine Expansion Formula
Wallis
Cosine Formulas
Half Range
Cosine Expansion
Cosine
Infinite Expansion
Half Range Cosine
Expansion Graph
Cosinor
Equation
Cosine
Area Formula
Cosine
Function Equation
Cosine
Exponential Formula
Explore more searches like Cosine Expanded Formula
Curve
Graph
Function
Equation
Unit
Circle
One
Period
Right
Triangle
Exponential
Form
Graphing
Sine
Adjacent Over
Hypotenuse
One
Cycle
Angle
Formula
Graph
Equation
Equation
Formula
Sin
vs
Law
Examples
How
Graph
Double Angle
Identities
Graph
Examples
150
Degrees
Direction
Vector
Reflection
Graph
Function
Graph
Trigonometric
Functions
Unit Circle
Sine
Double Angle
Fórmula
Rule
Angle
Law
Line
Rule for
Triangle
Similarity
Formula
Rule
Proof
Trigonometry
0
Rule Finding
Angle
Graphing
Quadrants
People interested in Cosine Expanded Formula also searched for
Taylor
Polynomial
Rectangular
Form
Line
PNG
Curve
PNG
Example
Terms
Tangent Sine
Over
Graph
Radians
Graph
Period
Triangle
Rule
Worksheet
Autoplay all GIFs
Change autoplay and other image settings here
Autoplay all GIFs
Flip the switch to turn them on
Autoplay GIFs
Image size
All
Small
Medium
Large
Extra large
At least... *
Customized Width
x
Customized Height
px
Please enter a number for Width and Height
Color
All
Color only
Black & white
Type
All
Photograph
Clipart
Line drawing
Animated GIF
Transparent
Layout
All
Square
Wide
Tall
People
All
Just faces
Head & shoulders
Date
All
Past 24 hours
Past week
Past month
Past year
License
All
All Creative Commons
Public domain
Free to share and use
Free to share and use commercially
Free to modify, share, and use
Free to modify, share, and use commercially
Learn more
Clear filters
SafeSearch:
Moderate
Strict
Moderate (default)
Off
Filter
Cosine Formula
Cosine Formula
Sheet
Cosine
Sum Formula
Cosine
Equation Formula
Cosine Formula
Hyponthes
Expanded Cosine
Form
Cosine
Triple Angle Formula
Directional
Cosine Formula
Cosine
Addition Formula
Sine and
Cosine Expanded Formula
Cosine
Series Expansion
Cosine
Prime Formula
Cosine Formula
Examples
Cosine
Complex Form
Cosine
Rule Equation
Cosine Formula
Sot
Cosine
F Rmula
Cosine
Function
Cosine
Exponential Form
Solved Cosine Formula
Example
Cosine
Formulq
Coline
Formula
Cosine Formula
Complex Plane
Expanding
Cosine
Cosine Formula
Multivariable Calculus
Cosine
Maclaurin Series
Cosinus Formule
Cocosisi
Cosine
of N a General Formula
Cosine
Distnace Formul
Solid Angle
Formula in Cosine
Sin Theta
Formula
Covercosine
Formula
Euler's Formula
for Sine and Cosine
Cosine
Numeral
Quarter Range
Cosine Expansion Formula
Wallis
Cosine Formulas
Half Range
Cosine Expansion
Cosine
Infinite Expansion
Half Range Cosine
Expansion Graph
Cosinor
Equation
Cosine
Area Formula
Cosine
Function Equation
Cosine
Exponential Formula
227×60
byjus.com
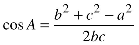
Cosine Formula For Triangle | Formula with Solved Example
227×60
testbook.com
Understanding the Cosine Formula - Testbook
1280×854
fity.club
Cosine Formula The Cosine Rule (example Problem Pairs)
512×384
schoolyourself.org
Cosine - Trigonometry - School Yourself
Related Products
Cosine Formula Poster
Cosine Formula Mug
Cosine Formula T-shirt
320×320
researchgate.net
Expanded version of cosine approximatio…
380×210
testbook.com
Understanding the Cosine Formula - Testbook
636×635
pw.live
Cosine Formula: Explanation, Definiti…
553×211
onlinemathlearning.com
Sine and Cosine Addition Formulas (solutions, examples, videos)
1500×1101
shutterstock.com
Cosine Formula Isolated On White Cosine Stock Illustratio…
1200×900
examples.com
Cosine - Definition, Formula, Table, Graph, PDF
1200×675
examples.com
Cosine - Definition, Formula, Table, Graph, PDF
1200×675
examples.com
Cosine - Definition, Formula, Table, Graph, PDF
Explore more searches like
Cosine
Expanded Formula
Curve Graph
Function Equation
Unit Circle
One Period
Right Triangle
Exponential Form
Graphing Sine
Adjacent Over Hypotenuse
One Cycle
Angle Formula
Graph Equation
Equation Formula
1200×675
examples.com
Cosine - Definition, Formula, Table, Graph, PDF
1096×626
semanticscholar.org
[PDF] 1 Fourier cosine expansion formula ( COS formula ) | Semantic Scholar
2160×1620
expii.com
Writing Equations of Cosine Functions - Expii
800×1291
cambridge.org
116. The Cosine Rule and the A…
1024×576
numerade.com
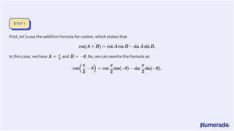
⏩SOLVED:Use the addition formula for the cosine to derive the… | Numerade
1080×1080
medium.com
Cosine Formula Proof (Trigonometry Trick…
891×479
chegg.com
Solved 2. Expand the given function in an appropriate cosine | Chegg.com
1920×1080
ar.inspiredpencil.com
Cosine Formula
2048×675
ar.inspiredpencil.com
Cosine Formula
1088×612
ar.inspiredpencil.com
Cosine Formula
600×1070
ar.inspiredpencil.com
Cosine Formula
640×480
ar.inspiredpencil.com
Cosine Formula
2064×1202
ar.inspiredpencil.com
Cosine Formula
1280×720
ar.inspiredpencil.com
Cosine Formula
1080×1080
ar.inspiredpencil.com
Cosine Formula
640×480
ar.inspiredpencil.com
Cosine Function Formula
People interested in
Cosine
Expanded Formula
also searched for
Taylor Polynomial
Rectangular Form
Line PNG
Curve PNG
Example
Terms
Tangent Sine Over
Graph Radians
Graph Period
Triangle
Rule Worksheet
715×402
ar.inspiredpencil.com
Cosine Function Formula
1024×768
ar.inspiredpencil.com
Cosine Function Formula
487×163
ar.inspiredpencil.com
Cosine Function Formula
600×196
alloprof.qc.ca
The Cosine Function | Secondaire | Alloprof
484×484
chegg.com
Solved Expand the given function in an appropriate c…
958×295
chegg.com
Solved Expand the given function in an appropriate cosine or | Chegg.com
906×324
chegg.com
Solved Expand the given function in an appropriate cosine or | Chegg.com
Some results have been hidden because they may be inaccessible to you.
Show inaccessible results
Report an inappropriate content
Please select one of the options below.
Not Relevant
Offensive
Adult
Child Sexual Abuse
Feedback