The photos you provided may be used to improve Bing image processing services.
Privacy Policy
|
Terms of Use
Can't use this link. Check that your link starts with 'http://' or 'https://' to try again.
Unable to process this search. Please try a different image or keywords.
Try Visual Search
Search, identify objects and text, translate, or solve problems using an image
Drag one or more images here,
upload an image
or
open camera
Drop images here to start your search
To use Visual Search, enable the camera in this browser
All
Search
Images
Inspiration
Create
Collections
Videos
Maps
News
More
Shopping
Flights
Travel
Notebook
Top suggestions for Homogeneous Vector Equation
Homogeneous
Linear Equation
Homogeneous
Linear System
Homogeneous
Matrix
Homogeneous
Quadratic Equation
Homogeneous Equation
Examples
Homogeneous
Matrix Example
Homogeneous
System Linear Algebra
Homogeneous Equation
Physics
Homogeneous
Solution Matrix
Matrix
Homogenous
Homogeneous
Transformation
Homogeneous
and Non Homogeneous Equation
Homegenous
Equation
Homogeneous
Differential Equation
Homogeneous
Math
What Is a
Homogeneous Linear System
Homogeneous Equation
for Motion
Homogeneous Equation
Form
Homogeneous
Line Vector
Homogeneus
Equation
Solving Homogeneous
Differential Equations
Homogeneous
Translation Matrix
Bloch
Equation
Associated
Homogeneous Equation
Homogeneous
Set of Equations
Homogeneous Vector
Field
What Are
Homogeneous Equations
Homogeneous
Integration
Homogeneous Equation
Graph
Homogeneous Equation
of Circle
Homoegenous
Vector
Homogeneous Equation
Representation
Coefficient Matrix of a
Homogeneous System
First Order Linear Differential
Equation
Restrictive
Homogeneous Equation
Homogeneous
Space
Parametric Vector
Form
Homogeneous
Coordinates
Into the Relevant
Homogeneous Equation
Properties of a
Homogeneous Equation
Homogeneous
Drawing
Difference Equation
About Homogeneus
Matrix of
Coefficients
Homegenous Vs. Heterogeneous
Vector Equation
Homogeneous Equation
for Hindi Medium
Homogeneous Equation
in Artificial Intelligence
Basis
Vectors
Homogeneous
Formula
Vector
Helmholtz Equation
Partial Differential
Equations
Explore more searches like Homogeneous Vector Equation
Particular
Solution
How
Identify
How
Find
Matrix
Example
What Is
Linear
Solution
Types
Computer
Graphics
First
Order
It
Is
Linear
Algebra
What Is
NPN
What Is
Non
NonTrivial
Solution
Example
Solid
Solution
For
Reaction
What Is General
Form
General
Solution
Breaking
Wikipedia
Associated
Circle
Problem
Form
Application
Autoplay all GIFs
Change autoplay and other image settings here
Autoplay all GIFs
Flip the switch to turn them on
Autoplay GIFs
Image size
All
Small
Medium
Large
Extra large
At least... *
Customized Width
x
Customized Height
px
Please enter a number for Width and Height
Color
All
Color only
Black & white
Type
All
Photograph
Clipart
Line drawing
Animated GIF
Transparent
Layout
All
Square
Wide
Tall
People
All
Just faces
Head & shoulders
Date
All
Past 24 hours
Past week
Past month
Past year
License
All
All Creative Commons
Public domain
Free to share and use
Free to share and use commercially
Free to modify, share, and use
Free to modify, share, and use commercially
Learn more
Clear filters
SafeSearch:
Moderate
Strict
Moderate (default)
Off
Filter
Homogeneous
Linear Equation
Homogeneous
Linear System
Homogeneous
Matrix
Homogeneous
Quadratic Equation
Homogeneous Equation
Examples
Homogeneous
Matrix Example
Homogeneous
System Linear Algebra
Homogeneous Equation
Physics
Homogeneous
Solution Matrix
Matrix
Homogenous
Homogeneous
Transformation
Homogeneous
and Non Homogeneous Equation
Homegenous
Equation
Homogeneous
Differential Equation
Homogeneous
Math
What Is a
Homogeneous Linear System
Homogeneous Equation
for Motion
Homogeneous Equation
Form
Homogeneous
Line Vector
Homogeneus
Equation
Solving Homogeneous
Differential Equations
Homogeneous
Translation Matrix
Bloch
Equation
Associated
Homogeneous Equation
Homogeneous
Set of Equations
Homogeneous Vector
Field
What Are
Homogeneous Equations
Homogeneous
Integration
Homogeneous Equation
Graph
Homogeneous Equation
of Circle
Homoegenous
Vector
Homogeneous Equation
Representation
Coefficient Matrix of a
Homogeneous System
First Order Linear Differential
Equation
Restrictive
Homogeneous Equation
Homogeneous
Space
Parametric Vector
Form
Homogeneous
Coordinates
Into the Relevant
Homogeneous Equation
Properties of a
Homogeneous Equation
Homogeneous
Drawing
Difference Equation
About Homogeneus
Matrix of
Coefficients
Homegenous Vs. Heterogeneous
Vector Equation
Homogeneous Equation
for Hindi Medium
Homogeneous Equation
in Artificial Intelligence
Basis
Vectors
Homogeneous
Formula
Vector
Helmholtz Equation
Partial Differential
Equations
768×994
scribd.com
A Homogeneous Equation Is Alwa…
768×1024
scribd.com
Homogeneous Differential Equa…
768×1024
scribd.com
Homogeneous System of Linea…
2000×2000
freepik.com
Premium Vector | Homogeneous equatio…
Related Products
Homogeneous Equation Calculator
Homogeneous Equation Solver
Differential Equations Book
960×720
vectorified.com
183 Equation vector images at Vectorified.com
960×720
vectorified.com
Homogeneous Vector at Vectorified.com | Collection of Homogeneous Vector free fo…
1313×988
vectorified.com
Homogeneous Vector at Vectorified.com | Collection of H…
899×535
vectorified.com
Homogeneous Vector at Vectorified.com | Collection of Homogeneous Vector free fo…
480×360
vectorified.com
Homogeneous Vector at Vectorified.com | Collection of H…
960×720
vectorified.com
Homogeneous Vector at Vectorified.com | Collection of H…
1024×768
vectorified.com
Homogeneous Vector at Vectorified.com | Collection of H…
1275×1650
vectorified.com
Homogeneous Vector at Vector…
791×1024
vectorified.com
Homogeneous Vector at Vector…
720×405
vectorified.com
Homogeneous Vector at Vectorified.com | Collection of Homogeneous Vector free for p…
Explore more searches like
Homogeneous
Vector
Equation
Particular Solution
How Identify
How Find
Matrix Example
What Is Linear
Solution Types
Computer Graphics
First Order
It Is
Linear Algebra
What Is NPN
What Is Non
730×807
vectorified.com
Homogeneous Vector at Vectorified.com | Colle…
1600×1200
vectorified.com
Homogeneous Vector at Vectorified.com | Collection of Hom…
1615×703
vectorified.com
Homogeneous Vector at Vectorified.com | Collection of Homogeneous Vector free for personal use
960×720
vectorified.com
Homogeneous Vector at Vectorified.com | Collection of Hom…
326×326
vectorified.com
Homogeneous Vector at Vectorified.com | Colle…
1168×1023
vectorified.com
Homogeneous Vector at Vectorified.com | Collectio…
495×640
vectorified.com
Homogeneous Vector at Vector…
1412×1389
vectorified.com
Homogeneous Vector at Vectorified.com | Colle…
295×211
vectorified.com
Homogeneous Vector at Vectorified.com | Collectio…
706×824
Stack Exchange
linear algebra - Parametric vector f…
1482×1749
Stack Exchange
linear algebra - Parametric vector for…
1024×768
SlideServe
PPT - Homogeneous vector Homogeneous transformation matrix PowerPoint Presentation - I…
1024×768
SlideServe
PPT - Homogeneous vector Homogeneous transformation matrix P…
720×540
SlideServe
PPT - Homogeneous vector Homogeneous transformation matrix P…
262×75
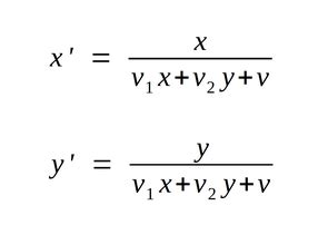
chegg.com
Solved derive a homogenous vector Helmholtz’s equation for | …
204×59
chegg.com
Solved derive a homogenous vector Hel…
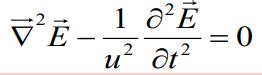
700×315
chegg.com
Solved Consider the homogeneous vector differential equation | Chegg.com
638×223
chegg.com
Solved Consider the homogeneous vector differential equation | Chegg.com
1024×791
chegg.com
Solved Consider the following first order linear homogeneous | Chegg.com
640×480
slideshare.net
homogeneous Equation All Math Solved | PPTX
638×478
slideshare.net
homogeneous Equation All Math Solved | PPTX | Physics | Science
Some results have been hidden because they may be inaccessible to you.
Show inaccessible results
Report an inappropriate content
Please select one of the options below.
Not Relevant
Offensive
Adult
Child Sexual Abuse
Feedback