The photos you provided may be used to improve Bing image processing services.
Privacy Policy
|
Terms of Use
Can't use this link. Check that your link starts with 'http://' or 'https://' to try again.
Unable to process this search. Please try a different image or keywords.
Try Visual Search
Search, identify objects and text, translate, or solve problems using an image
Drag one or more images here,
upload an image
or
open camera
Drop images here to start your search
To use Visual Search, enable the camera in this browser
All
Search
Images
Inspiration
Create
Collections
Videos
Maps
News
More
Shopping
Flights
Travel
Notebook
Top suggestions for How Do You Rewrite Fraction Exponents
How to Do
a Fraction Exponent
How Do You
Use an Exponent On a Fraction
Exponent
Rules in Fractions
Dividing
Exponents Fractions
What Do You Do
with a Fraction Exponent
Fractional Exponent
Rule
Fractional Exponent
Questions
Exponent
Is a Fraction
How to Do Fractions
with Exponent Only On Denominator
Can You Devide
Exponent in Fraction
What Do You Do
When Your Exponent Is a Fractions
Exponent
Rules for Fractions
How to Simplify
Fractions with Exponents
Exponent
Fracion Rule
How to Do
Negative Exponents
When Do You
Multiply Exponents
Turning Fractions
into Exponents
How Do Exponents
That Are Fractions Work
How
to Solve Fraction Exponents
How Do You
Deal with Exponents in a Fraction
What Happens When You
Have Exponent as a Fraction
When Do You
Apply the Identity Exponent
What to Do
If an Exponent Is a Fraction
How
to Divide Exponent Fractions
Exponent Fraction
Compound
How to Solve
Exponent Properties Fractions
How to Do Fraction Exponents
by Hand
How Does Exponent
Working On Fraction
How to Do a Exponent
That Was a Fraction
Describe Fractional
Exponent
Raising a Fraction
to an Exponent
How Do You
Cancel Expnoents in Fraction Aith X
Adding
Fraction Exponents
Fraction Exponent
Meaning
Radical to Fractional
Exponent
Fraction
with Exponenet Limits
How to Combine Exponents
in a Fraction
Inverse
Fraction
How Do You
Multiple Exponents into Fractions
Fraction Exponent
Division
Exponent
Form to Fraction
Exponent
Laws When They Are Fractions
How to Separate a Fraction Exponent
From a Single X
Multiplying Exponents
Worksheet
Fractional Exponents
Means
How Do You Do
to the Power of in Excel
Applying an Exponent
to a Fraction
Fractional Exponents
Workbook
Solving Expoenents in
Fractions
Explore more searches like How Do You Rewrite Fraction Exponents
Solve
Equations
Simplify
Negative
Solve
Variables
Divide
Numbers
Multiply
Divide
Simplify
Radicals
Add
Variables
Write
Rational
Do You
Add
Add Variables
Different
Solve for
Unknown
Convert
Negative
Do You Divide
Fractions
Solve for
That Is
Autoplay all GIFs
Change autoplay and other image settings here
Autoplay all GIFs
Flip the switch to turn them on
Autoplay GIFs
Image size
All
Small
Medium
Large
Extra large
At least... *
Customized Width
x
Customized Height
px
Please enter a number for Width and Height
Color
All
Color only
Black & white
Type
All
Photograph
Clipart
Line drawing
Animated GIF
Transparent
Layout
All
Square
Wide
Tall
People
All
Just faces
Head & shoulders
Date
All
Past 24 hours
Past week
Past month
Past year
License
All
All Creative Commons
Public domain
Free to share and use
Free to share and use commercially
Free to modify, share, and use
Free to modify, share, and use commercially
Learn more
Clear filters
SafeSearch:
Moderate
Strict
Moderate (default)
Off
Filter
How to Do
a Fraction Exponent
How Do You
Use an Exponent On a Fraction
Exponent
Rules in Fractions
Dividing
Exponents Fractions
What Do You Do
with a Fraction Exponent
Fractional Exponent
Rule
Fractional Exponent
Questions
Exponent
Is a Fraction
How to Do Fractions
with Exponent Only On Denominator
Can You Devide
Exponent in Fraction
What Do You Do
When Your Exponent Is a Fractions
Exponent
Rules for Fractions
How to Simplify
Fractions with Exponents
Exponent
Fracion Rule
How to Do
Negative Exponents
When Do You
Multiply Exponents
Turning Fractions
into Exponents
How Do Exponents
That Are Fractions Work
How
to Solve Fraction Exponents
How Do You
Deal with Exponents in a Fraction
What Happens When You
Have Exponent as a Fraction
When Do You
Apply the Identity Exponent
What to Do
If an Exponent Is a Fraction
How
to Divide Exponent Fractions
Exponent Fraction
Compound
How to Solve
Exponent Properties Fractions
How to Do Fraction Exponents
by Hand
How Does Exponent
Working On Fraction
How to Do a Exponent
That Was a Fraction
Describe Fractional
Exponent
Raising a Fraction
to an Exponent
How Do You
Cancel Expnoents in Fraction Aith X
Adding
Fraction Exponents
Fraction Exponent
Meaning
Radical to Fractional
Exponent
Fraction
with Exponenet Limits
How to Combine Exponents
in a Fraction
Inverse
Fraction
How Do You
Multiple Exponents into Fractions
Fraction Exponent
Division
Exponent
Form to Fraction
Exponent
Laws When They Are Fractions
How to Separate a Fraction Exponent
From a Single X
Multiplying Exponents
Worksheet
Fractional Exponents
Means
How Do You Do
to the Power of in Excel
Applying an Exponent
to a Fraction
Fractional Exponents
Workbook
Solving Expoenents in
Fractions
391×304
pinnaxis.com
Formula And Examples Of How To Simplify Fraction Ex…
1280×720
pinnaxis.com
Formula And Examples Of How To Simplify Fraction Exponents, 45% OFF
1500×755
tessshebaylo.com
How To Solve Equations With Negative Fraction Exponents - Tessshebaylo
3000×2000
chegg.com
Solved Question | Chegg.com
Related Products
Exponent Rules
Simplifying
Multiplying
3200×2400
calendarprintabletemplates.com
How To Solve Negative Fraction Exponents
700×483
chegg.com
Solved 46c#10. Rewrite using positive fraction exponents: | Chegg.com
568×794
smartmathz.com
Rewriting Exponents - S…
1600×1200
blogspot.com
square root of negative one teach math: Fraction Exponents. Easy.
700×283
chegg.com
Solved Rewrite with rational exponents and then use the | Chegg.com
477×234
askexcitement5.bitbucket.io
How To Get Rid Of Fraction Exponents - Askexcitement5
1024×768
askexcitement5.bitbucket.io
How To Get Rid Of Fraction Exponents - Askexcitement5
Explore more searches like
How
Do You Rewrite Fraction
Exponents
Solve Equations
Simplify Negative
Solve Variables
Divide Numbers
Multiply Divide
Simplify Radicals
Add Variables
Write Rational
Do You Add
Add Variables Different
Solve for Unknown
Convert Negative
2500×1229
mashupmath.com
Negative Exponents Explained: Definition, Rule, and Examples — Mashup Math
1028×784
gauthmath.com
Solved: This module is intended to help you understand fractional e…
1058×760
www.reddit.com
[Grade 11 Math: Rational Exponents] Rewrite Exponential E…
2560×1920
slideserve.com
PPT - Rewrite With Fractional Exponents PowerPoint Presenta…
1479×1018
fity.club
Fractional Exponents
1024×768
fity.club
Fractional Exponents
1920×1080
mashupmath.com
Fractional Exponents Lesson and Free Worksheet — Mashup Math
900×385
chegg.com
Solved Rewrite using negative or fractional exponents 15. 4 | Chegg.com
700×176
chegg.com
Solved Rewrite using negative or fractional exponents 4 15. | Chegg.com
768×1024
scribd.com
Fractional Exponents | PDF
619×700
chegg.com
Solved Use the Laws of Exponents to rewrite …
1024×402
numerade.com
⏩SOLVED:Use the Law of Exponents to rewrite and simplify the… | Numerade
700×342
chegg.com
Solved Use the Laws of Exponents to rewrite and simplify the | Chegg.com
1000×470
geeksforgeeks.org
Fractional Exponents | GeeksforGeeks
1491×400
chegg.com
Solved Use rules of exponents to rewrite the following | Chegg.com
806×1150
chegg.com
Solved Use the Laws of Expon…
500×700
chegg.com
Solved Use the Laws of Expon…
700×538
chegg.com
Solved Use the Laws of Exponents to rewrite and …
219×142
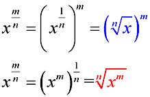
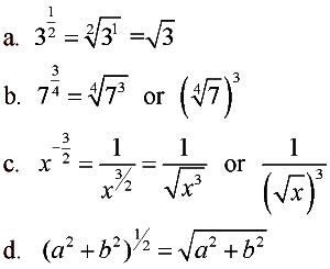
mathbitsnotebook.com
Fractional (Rational) Exponents - MathB…
300×245
mathbitsnotebook.com
Fractional (Rational) Exponents - MathBitsN…
1280×720
fity.club
Fractional Exponents Fractional (Rational) Exponents
1685×676
chegg.com
Solved Rewrite the expression with fraction | Chegg.com
1699×326
chegg.com
Solved Rewrite the expression with fraction | Chegg.com
1699×613
chegg.com
Solved Rewrite the expression with fraction exponent.y=x2y= | Chegg.com
Some results have been hidden because they may be inaccessible to you.
Show inaccessible results
Report an inappropriate content
Please select one of the options below.
Not Relevant
Offensive
Adult
Child Sexual Abuse
Feedback