The photos you provided may be used to improve Bing image processing services.
Privacy Policy
|
Terms of Use
Can't use this link. Check that your link starts with 'http://' or 'https://' to try again.
Unable to process this search. Please try a different image or keywords.
Try Visual Search
Search, identify objects and text, translate, or solve problems using an image
Drag one or more images here,
upload an image
or
open camera
Drop images here to start your search
To use Visual Search, enable the camera in this browser
All
Search
Images
Inspiration
Create
Collections
Videos
Maps
News
More
Shopping
Flights
Travel
Notebook
Top suggestions for Time-Variant Ode
Time Variant
Data
Time-Variant
System
Time-Variant
Meaning
Time-Variant
Equation
Time
Invariance
Time-
Invariant System
Time-Variant Vs. Time
Invariant Systems
Time-Variant
Control System
Time-Variant
Signal
Example of
Time Variant System
Good
Time Variant
Is Integration
Time Variant
Time-Variant
Graphs
Time-Variant
Authority
Time-Variant
System Graph
Variant Time
Card
Linear Time
-Invariant System
Data Warehouse
Time-Variant
Time-Variant
Plots
Time-Variant
Channel
Instantaneous Vs.
Time Variant
Time-
Invariant Examples
Nonlinear Time Variant
System
Time-Invariant and
Time Variant Element
Time-
Varying System
Horse Racing
Variant Time Adjustment
Time-Variant
Control Systems Book
Time-Variant
Authority Inside
Time-Variant
Characteristics in a Data Warehouse
Non Linear
Time Variant Contoh
General Relation
Time-Variant Measurement
Time-Variant
Optimal Transport
Time-Invariant Vs.
Time Variant Signals
Time-Variant Vs. Time
Invariant Odes
Time-Variant
Authority Judiciary
Polar Form of
Time Variant Systems
Difference Between Time
Invariant and Time Variant
Normalization On
Time Variant Data
Discrete-Time
Signal
Time-Variant Vs. Time
Invariant Functions
Time-Variant
System Two Variables
How to Check for
Time Invariance
Time-
Invariant System Definition
Time-Variant
Two Path Model
Time-Variant
Complex Impulse Response
Time-Variant
Authority Branches
Time Variant
and Invariant System Introduction
Time-Invariant and Time Variant
Signals Diagram
What Is Time
Inariant Mean
Aperiodic
Signal
Explore more searches like Time-Variant Ode
Agency
Logo
System Block
Diagram
System
Diagram
Current
Source
Data
Warehouse
Authority
Poster
Equation
Systems
MATLAB
Loki
Pin
Parody
Art
Invariant
Marvel
Reliability
Tine Inveriant
vs
S-System
Definition
Invrinat
Example
Control System
Example
Athoraty Full
Body
Difference
Equation
People interested in Time-Variant Ode also searched for
Authority
Builfing
Invariant Discrete
Systems
Reliability Using Load
Resistance
Culture Conversion
Omicron
Autoplay all GIFs
Change autoplay and other image settings here
Autoplay all GIFs
Flip the switch to turn them on
Autoplay GIFs
Image size
All
Small
Medium
Large
Extra large
At least... *
Customized Width
x
Customized Height
px
Please enter a number for Width and Height
Color
All
Color only
Black & white
Type
All
Photograph
Clipart
Line drawing
Animated GIF
Transparent
Layout
All
Square
Wide
Tall
People
All
Just faces
Head & shoulders
Date
All
Past 24 hours
Past week
Past month
Past year
License
All
All Creative Commons
Public domain
Free to share and use
Free to share and use commercially
Free to modify, share, and use
Free to modify, share, and use commercially
Learn more
Clear filters
SafeSearch:
Moderate
Strict
Moderate (default)
Off
Filter
Time Variant
Data
Time-Variant
System
Time-Variant
Meaning
Time-Variant
Equation
Time
Invariance
Time-
Invariant System
Time-Variant Vs. Time
Invariant Systems
Time-Variant
Control System
Time-Variant
Signal
Example of
Time Variant System
Good
Time Variant
Is Integration
Time Variant
Time-Variant
Graphs
Time-Variant
Authority
Time-Variant
System Graph
Variant Time
Card
Linear Time
-Invariant System
Data Warehouse
Time-Variant
Time-Variant
Plots
Time-Variant
Channel
Instantaneous Vs.
Time Variant
Time-
Invariant Examples
Nonlinear Time Variant
System
Time-Invariant and
Time Variant Element
Time-
Varying System
Horse Racing
Variant Time Adjustment
Time-Variant
Control Systems Book
Time-Variant
Authority Inside
Time-Variant
Characteristics in a Data Warehouse
Non Linear
Time Variant Contoh
General Relation
Time-Variant Measurement
Time-Variant
Optimal Transport
Time-Invariant Vs.
Time Variant Signals
Time-Variant Vs. Time
Invariant Odes
Time-Variant
Authority Judiciary
Polar Form of
Time Variant Systems
Difference Between Time
Invariant and Time Variant
Normalization On
Time Variant Data
Discrete-Time
Signal
Time-Variant Vs. Time
Invariant Functions
Time-Variant
System Two Variables
How to Check for
Time Invariance
Time-
Invariant System Definition
Time-Variant
Two Path Model
Time-Variant
Complex Impulse Response
Time-Variant
Authority Branches
Time Variant
and Invariant System Introduction
Time-Invariant and Time Variant
Signals Diagram
What Is Time
Inariant Mean
Aperiodic
Signal
768×1024
scribd.com
B 1method of Variation of Pa…
2000×852
github.io
Vid-ODE: Continuous-Time Video Generation with Neural Ordinary Differential Equation
560×337
la.mathworks.com
solve - Solve ODE over interval or at specified points - MATLAB
560×337
jp.mathworks.com
solve - Solve ODE over interval or at specified points - MATLAB
Related Products
To Joy Sheet Music
Natural Beauty Products
To a Nightingale Book
855×650
pyyeti.readthedocs.io
ode - time and frequency domain ODE solvers — pyYeti 1.4.6.2 doc…
432×268
math.stackexchange.com
ordinary differential equations - Classifying a strange ODE - Mathematics Stack Exchange
959×577
se.mathworks.com
ode45 - Solve nonstiff differential equations — medium order method - MATLAB - MathWor…
854×576
dl.leima.is
Neural ODE - Time Series with Deep Learning Quick Bite
1504×1110
math.stackexchange.com
ordinary differential equations - Is this ODE system well known? - …
1280×720
hackder.weebly.com
Time invariant ode superposition principle nonhomogeneous - hackDer
695×473
chegg.com
Solved To apply a time-advancement numerical solution | Chegg.com
Explore more searches like
Time-Variant
Ode
Agency Logo
System Block Diagram
System Diagram
Current Source
Data Warehouse
Authority Poster
Equation
Systems MATLAB
Loki Pin
Parody Art
Invariant
Marvel
2480×3508
math.stackexchange.com
ordinary differential equa…
1000×400
stackoverflow.com
r - Vary parameter through time in ODE - Stack Overflow
994×1500
amazon.com
Time Delay ODE/PDE Mo…
1050×1050
Stack Exchange
ordinary differential equations - Using ODE …
491×385
math.stackexchange.com
ordinary differential equations - find the time period of ode - Mathema…
655×251
math.stackexchange.com
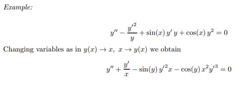
calculus - Change of variables example in an ODE - Mathematics Stack Exchange
1620×2291
studypool.com
SOLUTION: Method of variati…
1620×1145
studypool.com
SOLUTION: Method of variation of parameter ode - Studypool
1600×1200
stackoverflow.com
simple for order ODE simulation with Pyomo - Stack Overflow
850×689
researchgate.net
Energy vs Time Plot for Five ODE functions in MATLAB fo…
722×677
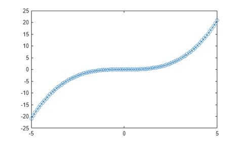
researchgate.net
The solutions of the ODE in the considered example …
638×358
researchgate.net
The graph of ωDE (interacting case) verses cosmic time t for´ρ0for´... | Download Scientifi…
801×438
electronics.stackexchange.com
differential - Simple example of first order ODE and Operational Amplifier - Electrical ...
320×320
researchgate.net
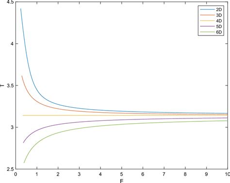
Period T of the ODE system (2.3) (with …
850×677
researchgate.net
Period T of the ODE system (2.3) (with m=1\d…
1200×556
blog.gopenai.com
Transformer ODE for time series forecasting | by shashank Jain | GoPenAI
320×320
researchgate.net
A comparison of ODE solve timings …
599×346
en.lntwww.de
General Description of Time Variant Systems - LNTwww
People interested in
Time-Variant
Ode
also searched for
Authority Builfing
Invariant Discrete Systems
Reliability Using Load Resistance
Culture Conversion Omicron
850×386
researchgate.net
ODE reduction (adapted from [16]): Plots displaying the time evolution... | Download Scientific ...
757×370
Stack Exchange
ordinary differential equations - How to solve this linear ODE with time-varying coefficients ...
1989×523
chegg.com
Solve the ODE by the method of variation of | Chegg.com
621×629
community.ptc.com
Solved: ODE with two functions of time - PTC C…
631×313
community.ptc.com
Solved: ODE with two functions of time - PTC Community
394×365
community.ptc.com
Solved: ODE with two functions of time - PTC Com…
Some results have been hidden because they may be inaccessible to you.
Show inaccessible results
Report an inappropriate content
Please select one of the options below.
Not Relevant
Offensive
Adult
Child Sexual Abuse
Feedback