The photos you provided may be used to improve Bing image processing services.
Privacy Policy
|
Terms of Use
Can't use this link. Check that your link starts with 'http://' or 'https://' to try again.
Unable to process this search. Please try a different image or keywords.
Try Visual Search
Search, identify objects and text, translate, or solve problems using an image
Drag one or more images here,
upload an image
or
open camera
Drop images here to start your search
To use Visual Search, enable the camera in this browser
All
Search
Images
Inspiration
Create
Collections
Videos
Maps
News
More
Shopping
Flights
Travel
Notebook
Top suggestions for CK Ink Levels
Ink Levels
On My Printer Epson
Printer Ink Levels
Display
Ink Levels
On My HP Printer
Ink
Cartridge Levels
Ink Levels
for Printer
Check Printer
Ink Levels
Printer Ink
Status
Ink Levels
Low
How to Check
Ink Levels HP Printer
Test
Ink Levels
Testing
Ink Levels
In My Printer
Ink Cartridges Levels
Ink
Tester Print Page
Ink
Check My Level
Run Printer
Ink Levels Test
Ink Levels
On My Printer Canon PIXMA
How to Check Ink Levels
HP Deskjet 4140
Normal K
Levels
Low Ink Levels
Warning Sign
Epson Remember to Check
Ink Levels
Epson Printer Ink Level
Status Monitor
Find My Ink Levels
On This Computer
Check Ink Levels
in Epson 8600
High CK Levels
Algorithm
CK Levels
in PMR
Checking Ink
for Printer
Rhabdomyolysis CK
-MB Levels
Extremely High CK Levels
in Children
Toner Cartridge
Levels
Serum CK Levels
in NMS
CK Normal Levels
Blacks
CK Levels
of 16000 Horse
Epson Ink Levels
in Printer Wf7720
High CK Levels
Differential Diagnosis
Toner
Levels
Epson Ink
Refill Kit
Epson Ink
Test Page
Level
Printer
Ink Levels
Print
Ink Levels
Canon
Ink Levels
Epson
Ink Levels
My HP Printer
Ink Level
Printer Ink Levels
Remaining
Ink Levels
Check
Check My Printer
Ink Levels
Check Ink Levels
HP Deskjet
Check Ink Levels
On My Printer HP
How to Check Ink Levels
On HP Printer
Printer Ink
Levels. This PC
Explore more searches like CK Ink Levels
Muscular
Dystrophy
Kidney
Failure
African
American
Heart
Attack
Blood
Test
After
Exercise
Muscle
Weakness
Malignant
Hyperthermia
High
Numbers
Crush
Injury
Muscular Dystrophy
Types
Newborn
Critical
PostIctal
Low
Als
Normal
Total
Normal
Range
Daptomycin
Myositis
Causes
High
Creatine
Kinase
12569
Injury
What Causes
High
366
€
Autoplay all GIFs
Change autoplay and other image settings here
Autoplay all GIFs
Flip the switch to turn them on
Autoplay GIFs
Image size
All
Small
Medium
Large
Extra large
At least... *
Customized Width
x
Customized Height
px
Please enter a number for Width and Height
Color
All
Color only
Black & white
Type
All
Photograph
Clipart
Line drawing
Animated GIF
Transparent
Layout
All
Square
Wide
Tall
People
All
Just faces
Head & shoulders
Date
All
Past 24 hours
Past week
Past month
Past year
License
All
All Creative Commons
Public domain
Free to share and use
Free to share and use commercially
Free to modify, share, and use
Free to modify, share, and use commercially
Learn more
Clear filters
SafeSearch:
Moderate
Strict
Moderate (default)
Off
Filter
Ink Levels
On My Printer Epson
Printer Ink Levels
Display
Ink Levels
On My HP Printer
Ink
Cartridge Levels
Ink Levels
for Printer
Check Printer
Ink Levels
Printer Ink
Status
Ink Levels
Low
How to Check
Ink Levels HP Printer
Test
Ink Levels
Testing
Ink Levels
In My Printer
Ink Cartridges Levels
Ink
Tester Print Page
Ink
Check My Level
Run Printer
Ink Levels Test
Ink Levels
On My Printer Canon PIXMA
How to Check Ink Levels
HP Deskjet 4140
Normal K
Levels
Low Ink Levels
Warning Sign
Epson Remember to Check
Ink Levels
Epson Printer Ink Level
Status Monitor
Find My Ink Levels
On This Computer
Check Ink Levels
in Epson 8600
High CK Levels
Algorithm
CK Levels
in PMR
Checking Ink
for Printer
Rhabdomyolysis CK
-MB Levels
Extremely High CK Levels
in Children
Toner Cartridge
Levels
Serum CK Levels
in NMS
CK Normal Levels
Blacks
CK Levels
of 16000 Horse
Epson Ink Levels
in Printer Wf7720
High CK Levels
Differential Diagnosis
Toner
Levels
Epson Ink
Refill Kit
Epson Ink
Test Page
Level
Printer
Ink Levels
Print
Ink Levels
Canon
Ink Levels
Epson
Ink Levels
My HP Printer
Ink Level
Printer Ink Levels
Remaining
Ink Levels
Check
Check My Printer
Ink Levels
Check Ink Levels
HP Deskjet
Check Ink Levels
On My Printer HP
How to Check Ink Levels
On HP Printer
Printer Ink
Levels. This PC
850×510
researchgate.net
Graph showing trends of CK levels. CK: creatinine kinase | Download Scientific Di…
850×579
researchgate.net
CK levels along with body temperature of our patient during h…
640×640
researchgate.net
CK levels along with body temperature of o…
850×159
researchgate.net
CK levels before and after intervention | Download Scientific Diagram
684×892
ResearchGate
Serum creatine kinase (CK) le…
850×531
researchgate.net
Trend of CK levels during and after the hospital stay. CK, crea…
850×449
researchgate.net
Changes in serum CK and Cr levels during the clinical course. The... | Dow…
640×640
researchgate.net
Changes in serum CK and Cr levels …
850×346
researchgate.net
Graphic representation of CK levels | Download Scientific Diagram
320×320
researchgate.net
Graphic representation of CK levels | Download S…
320×320
researchgate.net
Graphic representation of CK levels | Download S…
775×603
researchgate.net
Showing serum CK levels in cases and controls | Download …
850×510
researchgate.net
Levels of creatine kinase (CK) during the disease. There is a downward... | Downloa…
496×574
ResearchGate
Blood CK levels at the time of sacrifice in c…
Explore more searches like
CK
Ink
Levels
Muscular Dystrophy
Kidney Failure
African American
Heart Attack
Blood Test
After Exercise
Muscle Weakness
Malignant Hyperthermia
High Numbers
Crush Injury
Muscular Dystrophy Ty
…
Newborn
850×468
ResearchGate
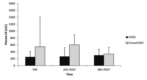
Creatine kinase (CK) levels for each trial (CKPRE, CK 24 h-POST, an…
850×183
researchgate.net
-Creatine kinase (CK) levels following coronary artery bypass grafting. | Do…
1024×768
toner-master.com
A Quick Guide on How to Check Printer Ink Level…
850×78
researchgate.net
Creatine Kinase (CK) levels at various stages after initial presentation | Download Scientific ...
137×137
researchgate.net
Creatine Kinase (CK) levels at v…
817×223
marqetspace.co.uk
Required Ink Levels for File Supply | Marqetspace
980×980
vecteezy.com
Tablet showing ink levels for printing docu…
750×375
technewstoday.com
How to Check Printer Ink Levels (All Brands) - Tech News Today
633×398
researchgate.net
Creatinine kinase (CK) levels over time. | Download Table
1200×630
vitalitypod.com
What are CK levels, and what can you do about it? - Vitality Pod
320×320
researchgate.net
Initial and peak creatine kinase (CK) levels a…
850×461
researchgate.net
Graph depicting the downtrending of CK levels over the patient's... | Download Scient…
850×547
researchgate.net
Clinical course of case 2. The solid line shows serum CK levels, and... | Download …
640×640
researchgate.net
Clinical course of case 2. The solid line shows seru…
850×415
researchgate.net
Creatine kinase (CK) levels following isolated limb perfusion on... | Download Scientific Diagram
510×510
researchgate.net
(A) Changes in the creatinine kinase (CK) lev…
702×789
researchgate.net
The time trends of lithium and creatine kinase (CK) …
313×313
researchgate.net
CK levels in U·L-1 by day at "High" and "Low" Load Level…
423×423
researchgate.net
The serum levels of CK-MB (U/L) in each group. Values a…
397×397
researchgate.net
The serum levels of CK-MB (U/L) in each group. Values a…
320×320
researchgate.net
Creatine kinase (CK) levels at (a) baseline, (b) 0–3 months, …
Some results have been hidden because they may be inaccessible to you.
Show inaccessible results
Report an inappropriate content
Please select one of the options below.
Not Relevant
Offensive
Adult
Child Sexual Abuse
Feedback