The photos you provided may be used to improve Bing image processing services.
Privacy Policy
|
Terms of Use
Can't use this link. Check that your link starts with 'http://' or 'https://' to try again.
Unable to process this search. Please try a different image or keywords.
Try Visual Search
Search, identify objects and text, translate, or solve problems using an image
Drag one or more images here,
upload an image
or
open camera
Drop images here to start your search
To use Visual Search, enable the camera in this browser
All
Search
Images
Inspiration
Create
Collections
Videos
Maps
News
More
Shopping
Flights
Travel
Notebook
Top suggestions for Pyq Class 10 Maths Chapter 4
Class 9
Pyq Maths
Class 10 Maths Pyq Chapter
Wise
Maths Pyq Class 10
CBSE
Pyq ICSE
Class 10 Maths
Class 10 Maths Pyq
Book
Class 10 Pyq Maths
Standard
Maths Class 10
Circle Pyq
Pyq Question
Class 10 Maths
Pyq Paper
Class 10 Maths
NCERT Exemplar
Class 10 Maths
Maths Class 10
Board Revision
Class 10 Maths Chapter
1 Pyq
Pyq Class 10 Maths
Vedantu
Class 10
Ai Pyq
Polynomials
Class 10 Pyq
CBSE Pyq Class 10 Maths
Basic
Pyq Class 10 Maths
Ch. 1-3
Class 10 ICSE Maths
Formula Sheet
NCERT
Math Class 10 Pyq
Class 10th
Pyq Maths
Pyqs Class 10
Board Maths
Class 10 Pyq Maths
Standard 5 Marks Question
Class 10
New Book Maths Pyq
Reddles in
Maths Class 10
Learn Well
Class 10 Maths Pyq
Class 10
Modal Pyq
Class 10
English Pyq
Probability
Class 10 Pyq
Class 10
IMO Pyq
Class 10 Maths
Triangles
Class 10 Maths
Chater Polynomial Pyq Byjus
Real Numbers
Class 10 Pyq
Pyq Class 10
PDF
Pyq Trigonometry
Class 10
Pyq Class 10
CBSE Maths Standards
Linear Equation
Pyq of Class 10
Together with
Class 10 Maths Pyq Book
Tallentex
Pyq Class 10
U Like Book
Class 10 Pyq
Most Repeated Question
Maths Class 10
Pyq
of It Class 10
Class 10 Maths
Ch. 7
Maths Class 10
MCQ Online Test
Coordinate Geometry
Class 10 Pyq
Worksheet for
Class 10 Maths Chapter Wise
Pyq Class 10
Yrs Class 10
Class 10
Balancing Pyq
Chapter Wise Pyq Class
10th Shopping
U Like Maths Class 10
N Price
Explore more searches like Pyq Class 10 Maths Chapter 4
Life
Process
Alluvial
Soil
Arithmetic
Progression
Volt Current
Graph
PDF
Download
Social
Science
Real
Numbers
Coordinate
Geometry
Physics
Electricity
Sample
Paper
Order
Letter
Hindi-language
Science
English Pyq Chapter
Wise
Metals
Nonmetals
Manufacturing
Industries
Life
Processes
Grammar
Chemical Reaction
Equation
Ch. 1
Maths
Information Technology
Togetherwith
Autoplay all GIFs
Change autoplay and other image settings here
Autoplay all GIFs
Flip the switch to turn them on
Autoplay GIFs
Image size
All
Small
Medium
Large
Extra large
At least... *
Customized Width
x
Customized Height
px
Please enter a number for Width and Height
Color
All
Color only
Black & white
Type
All
Photograph
Clipart
Line drawing
Animated GIF
Transparent
Layout
All
Square
Wide
Tall
People
All
Just faces
Head & shoulders
Date
All
Past 24 hours
Past week
Past month
Past year
License
All
All Creative Commons
Public domain
Free to share and use
Free to share and use commercially
Free to modify, share, and use
Free to modify, share, and use commercially
Learn more
Clear filters
SafeSearch:
Moderate
Strict
Moderate (default)
Off
Filter
Class 9
Pyq Maths
Class 10 Maths Pyq Chapter
Wise
Maths Pyq Class 10
CBSE
Pyq ICSE
Class 10 Maths
Class 10 Maths Pyq
Book
Class 10 Pyq Maths
Standard
Maths Class 10
Circle Pyq
Pyq Question
Class 10 Maths
Pyq Paper
Class 10 Maths
NCERT Exemplar
Class 10 Maths
Maths Class 10
Board Revision
Class 10 Maths Chapter
1 Pyq
Pyq Class 10 Maths
Vedantu
Class 10
Ai Pyq
Polynomials
Class 10 Pyq
CBSE Pyq Class 10 Maths
Basic
Pyq Class 10 Maths
Ch. 1-3
Class 10 ICSE Maths
Formula Sheet
NCERT
Math Class 10 Pyq
Class 10th
Pyq Maths
Pyqs Class 10
Board Maths
Class 10 Pyq Maths
Standard 5 Marks Question
Class 10
New Book Maths Pyq
Reddles in
Maths Class 10
Learn Well
Class 10 Maths Pyq
Class 10
Modal Pyq
Class 10
English Pyq
Probability
Class 10 Pyq
Class 10
IMO Pyq
Class 10 Maths
Triangles
Class 10 Maths
Chater Polynomial Pyq Byjus
Real Numbers
Class 10 Pyq
Pyq Class 10
PDF
Pyq Trigonometry
Class 10
Pyq Class 10
CBSE Maths Standards
Linear Equation
Pyq of Class 10
Together with
Class 10 Maths Pyq Book
Tallentex
Pyq Class 10
U Like Book
Class 10 Pyq
Most Repeated Question
Maths Class 10
Pyq
of It Class 10
Class 10 Maths
Ch. 7
Maths Class 10
MCQ Online Test
Coordinate Geometry
Class 10 Pyq
Worksheet for
Class 10 Maths Chapter Wise
Pyq Class 10
Yrs Class 10
Class 10
Balancing Pyq
Chapter Wise Pyq Class
10th Shopping
U Like Maths Class 10
N Price
768×1024
scribd.com
Cbse Class 10 Maths Chapter 4 Mcqs | PDF | Quadratic Eq…
958×1355
schools.aglasem.com
NCERT Solutions 2025 Class 10 Maths Chapter 4 Quadrat…
768×1169
mathongo.com
NCERT Solutions for Class 10 Maths Chapter 4 Exercise 4.…
768×1169
mathongo.com
NCERT Solutions for Class 10 Maths Chapter 4 Exercise 4.…
768×1146
mathongo.com
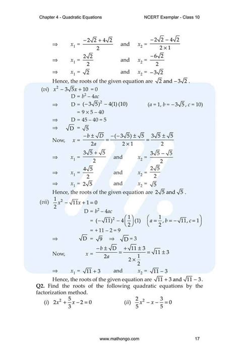
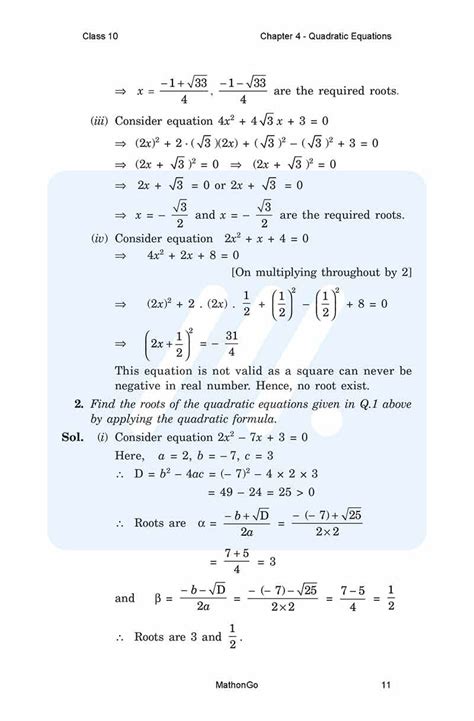
NCERT Exemplar for Class 10 Maths Chapter 4 – MathonGo
686×1024
mathongo.com
NCERT Exemplar for Class 10 Maths Chapter 4 – MathonGo
Related Searches
Class 10
Physics
Electricity
Pyq
Pyq
Sample
Paper
Class 10
Class 10
Order
Letter
Pyq
Hindi
-
language
Pyq Class 10
768×1024
scribd.com
Class 10 Maths Chapter 4 Quadratic Equations MCQs …
958×1355
schools.aglasem.com
NCERT Solutions 2025 Class 10 Maths Chapter 4 Quadrat…
673×1024
mathongo.com
NCERT Solutions for Class 10 Maths Chapter 4 Exercise 4.…
800×1218
mathongo.com
NCERT Solutions for Class 10 Maths Chapter 4 Exercise 4.…
768×1146
mathongo.com
NCERT Exemplar for Class 10 Maths Chapter 4 – MathonGo
768×1146
mathongo.com
NCERT Exemplar for Class 10 Maths Chapter 4 – MathonGo
768×1146
mathongo.com
NCERT Exemplar for Class 10 Maths Chapter 4 – MathonGo
1280×720
cbseguidanceweb.com
CBSE Class 10 Maths PYQ Download With Solutions - …
958×1355
schools.aglasem.com
NCERT Solutions 2025 Class 10 Maths Chapter 4 Quadrat…
958×1355
schools.aglasem.com
NCERT Solutions 2025 Class 10 Maths Chapter 4 Quadrat…
800×1218
mathongo.com
NCERT Solutions for Class 10 Maths Chapter 4 Exercise 4.…
800×1218
mathongo.com
NCERT Solutions for Class 10 Maths Chapter 4 Exercise 4.…
686×1024
mathongo.com
NCERT Exemplar for Class 10 Maths Chapter 4 – MathonGo
768×1146
mathongo.com
NCERT Exemplar for Class 10 Maths Chapter 4 – MathonGo
686×1024
mathongo.com
NCERT Exemplar for Class 10 Maths Chapter 4 – MathonGo
1280×720
cbseguidanceweb.com
CBSE Class 10 Maths PYQ Download With Solutions - …
958×1355
schools.aglasem.com
NCERT Solutions 2025 Class 10 Maths Chapter 4 Quadrat…
Related Searches
Class 10
Life
Process
Pyq
Pyq Class 10
On
Alluvial
Soil
Class 10
Arithmetic
Progression
Pyq
Volt
Current
Graph
Pyq Class 10
800×1218
mathongo.com
NCERT Solutions for Class 10 Maths Chapter 4 Exercise 4.…
686×1024
mathongo.com
NCERT Exemplar for Class 10 Maths Chapter 4 – MathonGo
686×1024
mathongo.com
NCERT Exemplar for Class 10 Maths Chapter 4 – MathonGo
686×1024
mathongo.com
NCERT Exemplar for Class 10 Maths Chapter 4 – MathonGo
1700×2200
byjus.com
NCERT Exemplar Class 10 Maths Solutions Chapter 4 (…
1280×720
study.update24net.com
Maths Class 10 Chapter 4 Extra Questions To Score G…
958×1355
schools.aglasem.com
NCERT Solutions 2025 Class 10 Maths Chapter 4 Quadrat…
673×1024
mathongo.com
NCERT Solutions for Class 10 Maths Chapter 4 Exercise 4.…
800×1218
mathongo.com
NCERT Solutions for Class 10 Maths Chapter 4 Exercise 4.…
Related Searches
Class 10 Pyq
PDF
Download
Social
Science
Pyq Class 10
Real
Numbers
Class 10 Pyq
Coordinate
Geometry
Class 10 Pyq
768×1146
mathongo.com
NCERT Exemplar for Class 10 Maths Chapter 4 – MathonGo
768×1146
mathongo.com
NCERT Exemplar for Class 10 Maths Chapter 4 – MathonGo
1700×2200
byjus.com
NCERT Exemplar Class 10 Maths Solutions Chapter 4 (…
Some results have been hidden because they may be inaccessible to you.
Show inaccessible results
Report an inappropriate content
Please select one of the options below.
Not Relevant
Offensive
Adult
Child Sexual Abuse
Feedback