Can't use this link. Check that your link starts with 'http://' or 'https://' to try again.
Unable to process this search. Please try a different image or keywords.
Try Visual Search
Search, identify objects and text, translate, or solve problems using an image
Drag one or more images here,
upload an image
or
open camera
The photos you provided may be used to improve Bing image processing services.
Privacy Policy
|
Terms of Use
Drop image anywhere to start your search
To use Visual Search, enable the camera in this browser
All
Search
Images
Inspiration
Create
Collections
Videos
Maps
News
More
Shopping
Flights
Travel
Notebook
Top suggestions for Smith Chart Matching Capacitor
Smith Chart
Image
Smith Chart Matching
Smith Chart
Impedance Matching
Smith Chart
Tutorial
Printable
Smith Chart
Smith Chart
Tool
Color
Smith Chart
Admittance
Smith Chart
Smith Chart
Movement
Smith Chart
Basics
How to Read
Smith Chart
VSWR
Smith Chart
Zy
Smith Chart
Smith Chart
PDF
Smith
Chartplotter
Complete
Smith Chart
Labeled
Smith Chart
Smith Chart
Capacitive Inductive
Smith Chart
Diagram
Smith Chart
High Quality
Two Side
Smith Chart
Smith Chart
Transmission Line
Smith Chart
Examples
L.C. Smith
Serial Number Chart
Smith
XY Chart
Electronics Smith Chart
Graphics
Smith
Cahrt Lumped Element Matching
Resistance Circle S On
Smith Chart
Smith Chart
RF
Mag and Angle On
Smith Chart in MATLAB
Stan Smith Chart
Meme
Smith Chart
Slide Rule
Smith Chart
Inductor Capacitor
Electronic Applications of the
Smith Chart
Using
Smith Chart
Smith Chart
Ham
Smith Chart
Black Design
Immittance
Smith Chart
Conjugate
Matching Smith Chart
Smith Chart Matching
Paths
Smith Chart
Inductance Capacitance
Shunt
Capacitor Smith Chart
Smith Chart
Tuning
Smith Chart
Regions Matching
Smith Chart
Plotting Tool
Smith Chart
Match Path
Electronic Instruments That Incorporate the
Smith Chart
Smith Chart
Tune Match
Smith Chart
Purpose
Amplifier S11
Smith Chart
Explore more searches like Smith Chart Matching Capacitor
Transmission
Line
Antenna
Impedance
Network
Mapping
Stub
Design
Network
Open Circuit
Stub
Network
Calculator
People interested in Smith Chart Matching Capacitor also searched for
LED
Lighting
Citizen
Caliber
Number
Code
Tweeter
Crossover
Color
Code
Copeland
Compressor
Submersible
Pump
BumbleBee
Circuit
Board
Speaker
Crossover
Large
Disk
Inch
mm
Conversion
Table
Package
Size
Air
Conditioner
Telecaster
Guitar
Car
Audio
Frequency
Value
Conversion
Selection
PDF
Crossover
Frequency
Series
Voltage
UF
Electrolytic
MF
Case-Size
Philco
Block
Box
Autoplay all GIFs
Change autoplay and other image settings here
Autoplay all GIFs
Flip the switch to turn them on
Autoplay GIFs
Image size
All
Small
Medium
Large
Extra large
At least... *
Customized Width
x
Customized Height
px
Please enter a number for Width and Height
Color
All
Color only
Black & white
Type
All
Photograph
Clipart
Line drawing
Animated GIF
Transparent
Layout
All
Square
Wide
Tall
People
All
Just faces
Head & shoulders
Date
All
Past 24 hours
Past week
Past month
Past year
License
All
All Creative Commons
Public domain
Free to share and use
Free to share and use commercially
Free to modify, share, and use
Free to modify, share, and use commercially
Learn more
Clear filters
SafeSearch:
Moderate
Strict
Moderate (default)
Off
Filter
Smith Chart
Image
Smith Chart Matching
Smith Chart
Impedance Matching
Smith Chart
Tutorial
Printable
Smith Chart
Smith Chart
Tool
Color
Smith Chart
Admittance
Smith Chart
Smith Chart
Movement
Smith Chart
Basics
How to Read
Smith Chart
VSWR
Smith Chart
Zy
Smith Chart
Smith Chart
PDF
Smith
Chartplotter
Complete
Smith Chart
Labeled
Smith Chart
Smith Chart
Capacitive Inductive
Smith Chart
Diagram
Smith Chart
High Quality
Two Side
Smith Chart
Smith Chart
Transmission Line
Smith Chart
Examples
L.C. Smith
Serial Number Chart
Smith
XY Chart
Electronics Smith Chart
Graphics
Smith
Cahrt Lumped Element Matching
Resistance Circle S On
Smith Chart
Smith Chart
RF
Mag and Angle On
Smith Chart in MATLAB
Stan Smith Chart
Meme
Smith Chart
Slide Rule
Smith Chart
Inductor Capacitor
Electronic Applications of the
Smith Chart
Using
Smith Chart
Smith Chart
Ham
Smith Chart
Black Design
Immittance
Smith Chart
Conjugate
Matching Smith Chart
Smith Chart Matching
Paths
Smith Chart
Inductance Capacitance
Shunt
Capacitor Smith Chart
Smith Chart
Tuning
Smith Chart
Regions Matching
Smith Chart
Plotting Tool
Smith Chart
Match Path
Electronic Instruments That Incorporate the
Smith Chart
Smith Chart
Tune Match
Smith Chart
Purpose
Amplifier S11
Smith Chart
768×1024
scribd.com
Smith chart__impeda…
768×1024
scribd.com
A Visual Guide to the Smith C…
768×1024
scribd.com
Smith Charts and Matching …
1280×720
caqweloco.weebly.com
Smith chart matching - caqweloco
Related Products
RF Matching Network Design
Transmission Line Transformer
Impedance Matching Circuit
785×726
pathpol.weebly.com
Smith chart impedance matching - pathpol
737×656
cuteloced.weebly.com
Smith chart impedance matching calculator - cutelo…
850×543
researchgate.net
(a) Smith chart of input matching; (b) smith chart of output matching. | Download Sci…
462×439
vsasms.weebly.com
Impedance matching smith chart pdf - vsasms
1264×1358
mzaergarage.weebly.com
Impedance matching smith chart - mzaergar…
320×320
researchgate.net
Smith chart of circular capacitor. | Download S…
500×415
intellimilo.weebly.com
Impedance matching smith chart tutorial - intellimilo
1536×864
intellimilo.weebly.com
Impedance matching smith chart tutorial - intellimilo
424×616
nightpolre.weebly.com
Impedance matching smith …
768×432
mychartguide.com
Smith Chart - My Chart Guide
Explore more searches like
Smith Chart Matching
Capacitor
Transmission Line
Antenna Impedance
Network Mapping
Stub Design
Network
Open Circuit Stub
Network Calculator
781×595
impedans.com
Smith Chart | Impedans
800×598
impedans.com
Smith Chart | Impedans
916×643
impedans.com
Smith Chart | Impedans
904×441
impedans.com
Smith Chart | Impedans
802×581
impedans.com
Smith Chart | Impedans
490×238
impedans.com
Smith Chart | Impedans
505×502
researchgate.net
Measured Smith chart after impedance matching | Do…
617×490
ResearchGate
4: Impedance matching on the Smith chart | Download Scientifi…
769×1513
ResearchGate
Design of impedance ma…
735×683
Stack Exchange
transmission line - Stub matching at smith chart - Elect…
1200×1130
storage.googleapis.com
Impedance Matching Network Smith Chart at Jose Caceres blog
1280×720
storage.googleapis.com
Capacitor Impedance Chart at Alberto Stark blog
407×458
www.pinterest.com
Smith Chart Impedance Matchi…
1620×911
studypool.com
SOLUTION: Smith chart and impedance matching - Studypool
1620×911
studypool.com
SOLUTION: Smith chart and impedance matching - Studypool
1620×911
studypool.com
SOLUTION: Smith chart and impedance matching - Studypool
People interested in
Smith
Chart
Matching
Capacitor
also searched for
LED Lighting
Citizen Caliber
Number Code
Tweeter Crossover
Color Code
Copeland Compressor
Submersible Pump
BumbleBee
Circuit Board
Speaker Crossover
Large Disk
Inch mm
1000×1000
electricity-magnetism.org
Smith chart | Example of Calculation
399×697
numerade.com
Which of the labeled points …
711×711
largepooter.weebly.com
Smith chart plotter - largepooter
377×121
antenna-theory.com
The Smith Chart - Intro to Impedance Matching and Series L and C
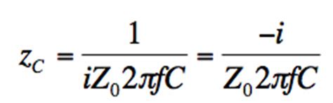
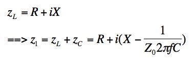
250×78
antenna-theory.com
The Smith Chart - Intro to Impedance Matching and Series L and C
Some results have been hidden because they may be inaccessible to you.
Show inaccessible results
Report an inappropriate content
Please select one of the options below.
Not Relevant
Offensive
Adult
Child Sexual Abuse
Feedback