Can't use this link. Check that your link starts with 'http://' or 'https://' to try again.
Unable to process this search. Please try a different image or keywords.
Try Visual Search
Search, identify objects and text, translate, or solve problems using an image
Drag one or more images here,
upload an image
or
open camera
The photos you provided may be used to improve Bing image processing services.
Privacy Policy
|
Terms of Use
Drop image anywhere to start your search
To use Visual Search, enable the camera in this browser
All
Search
Images
Inspiration
Create
Collections
Videos
Maps
News
More
Shopping
Flights
Travel
Notebook
Top suggestions for X Minimize/Maximize
Minimize/Maximize
Icon
Minimize
Symbol
Minimize
Screen
Minimize Maximize
Close
Shortcut Key of
Minimize and Maximize
Minimize/Maximize
Icon Windows
Maximize
Window Icon
Computer
Minimize
Minimize
Cost
How to Maximize
Screen Using Keyboard
Shortcut Keys for
Minimize and Maximize
Graphic Minimize
and Maximize
Minimize and Maximize
Short Cut
Mac Minimize
Window
Maximize and Minimize
Function
Minimize
Risk
Control to
Minimize Window
Minimize
Menu Bar
Minimize
Arrow
Minimize
Definition
Keyboard Shortcuts for
Maximize and Minimize
Apple Close
Maximize/Minimize
Minimize Maximize
Close Pinterest
Minimize/Maximize
Chart Template
Minimize Maximize
Close Quotes
Minimize
Tab
Maximize
Efficiency
Minimize
Command
Minimizing
Risk
Minimize/Maximize
Shortcut Key List
Minimize/Maximize
Rows
Restore Minimize Maximize
and Close Cancels
Apple Minimize
and Maximize Colouts
Vector Icon
Minimize
Always Show Close
Minimize/Maximize MacBook
How to Minimize
and Maximize Packages Explorer
Minimize Maximize
Close Adobe Connect
Windows 7
Minimize
Maximize
Clip Art
Minimize or Maximize
Shortcut Key
Minimize
and Expand Icons
Minimise Shortcut
Key
Minimize
App
Maximise and Minimise
Drawing
Minimize
Optimize Fun
Win 12 Close Minimize and Maximize
Windows 12 Phototype in Explorer
What Are Minimize/Maximize
Restore a ND Close
What Is the Shortcut Key for
Minimize
Maximise and Minimize
Creative Ideas
Resize Desktop
Icons
Explore more searches like X Minimize/Maximize
Chart
Template
Icon.png
Button
Design
Brave
Browser
Response Surface
Curve
Close Button
PNG
Close
PNG
Taguchi
Curve
Response Surface
Diagram
ASCII
Icon
Icons
Button
Icon
Close
Buttons
See
Items
Restore Move
Size
Calculator
How
Restore
Close
Mac
Creative
Images
Close
Blank
PPT
Mac OS
Close
Panel Are
Called
Logo
People interested in X Minimize/Maximize also searched for
Tombol
Close
Button
Sign
Icons
Windows
Screen
Appearance
Screen
Features
PNG
Lifestyle
UI
Restore Close
Buttons
Material
Design
Emulator Android
Studio
Autoplay all GIFs
Change autoplay and other image settings here
Autoplay all GIFs
Flip the switch to turn them on
Autoplay GIFs
Image size
All
Small
Medium
Large
Extra large
At least... *
Customized Width
x
Customized Height
px
Please enter a number for Width and Height
Color
All
Color only
Black & white
Type
All
Photograph
Clipart
Line drawing
Animated GIF
Transparent
Layout
All
Square
Wide
Tall
People
All
Just faces
Head & shoulders
Date
All
Past 24 hours
Past week
Past month
Past year
License
All
All Creative Commons
Public domain
Free to share and use
Free to share and use commercially
Free to modify, share, and use
Free to modify, share, and use commercially
Learn more
Clear filters
SafeSearch:
Moderate
Strict
Moderate (default)
Off
Filter
Minimize/Maximize
Icon
Minimize
Symbol
Minimize
Screen
Minimize Maximize
Close
Shortcut Key of
Minimize and Maximize
Minimize/Maximize
Icon Windows
Maximize
Window Icon
Computer
Minimize
Minimize
Cost
How to Maximize
Screen Using Keyboard
Shortcut Keys for
Minimize and Maximize
Graphic Minimize
and Maximize
Minimize and Maximize
Short Cut
Mac Minimize
Window
Maximize and Minimize
Function
Minimize
Risk
Control to
Minimize Window
Minimize
Menu Bar
Minimize
Arrow
Minimize
Definition
Keyboard Shortcuts for
Maximize and Minimize
Apple Close
Maximize/Minimize
Minimize Maximize
Close Pinterest
Minimize/Maximize
Chart Template
Minimize Maximize
Close Quotes
Minimize
Tab
Maximize
Efficiency
Minimize
Command
Minimizing
Risk
Minimize/Maximize
Shortcut Key List
Minimize/Maximize
Rows
Restore Minimize Maximize
and Close Cancels
Apple Minimize
and Maximize Colouts
Vector Icon
Minimize
Always Show Close
Minimize/Maximize MacBook
How to Minimize
and Maximize Packages Explorer
Minimize Maximize
Close Adobe Connect
Windows 7
Minimize
Maximize
Clip Art
Minimize or Maximize
Shortcut Key
Minimize
and Expand Icons
Minimise Shortcut
Key
Minimize
App
Maximise and Minimise
Drawing
Minimize
Optimize Fun
Win 12 Close Minimize and Maximize
Windows 12 Phototype in Explorer
What Are Minimize/Maximize
Restore a ND Close
What Is the Shortcut Key for
Minimize
Maximise and Minimize
Creative Ideas
Resize Desktop
Icons
654×548
smart-picker.com
Minimize/Maximize
767×725
tagstonecapital.com
minimize_maximize | TAGStone Capital, Inc.
1024×990
chegg.com
Solved Question 1. minimize / maximize x / t / d / y / | Che…
1200×1390
animalia-life.club
Minimize Maximize Icon Png
Related Products
Minimalist Wallet
Decluttering Books
Reusable Bags
800×437
dreamstime.com
Minimize, Maximize, and Close Button Icon Vector. Elements of Web or Mobile App Stock Vector ...
1797×980
vecteezy.com
Minimize, maximize, and close icon vectors. Elements of the application window 15601387 Vector ...
1024×592
numerade.com
MAXIMIZATION BY THE SIMPLEX METHOD Maximize z = x1 + 2x2 + x3 subject to x1 + x2 ≤ …
700×335
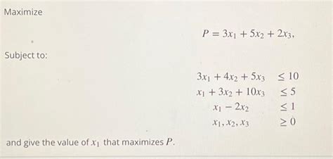
chegg.com
Solved Maximize Subject to: and give the value of x₁ that | Chegg.com
391×174
chegg.com
Solved Maximize x0=x1+2x2−3x3+4x4 ect to: | Chegg.com
248×156
chegg.com
xmaximise subject to | Chegg.com
800×534
ar.inspiredpencil.com
Minimize Maximize Icon Png
Explore more searches like
X
Minimize/Maximize
Chart Template
Icon.png
Button Design
Brave Browser
Response Surface Curve
Close Button PNG
Close PNG
Taguchi Curve
Response Surface Diag
…
ASCII Icon
Icons
Button Icon
1000×393
ar.inspiredpencil.com
Minimize Maximize Icon Png
850×850
researchgate.net
7: Minimize x 2 over the set {x = (x 1 , x …
1024×539
chegg.com
Solved Consider the following problem. Maximize Z = x_1 + | Chegg.com
700×291
chegg.com
Solved Maximize Minimize {2x1+x2,x1−2x2} Subject to | Chegg.com
700×188
chegg.com
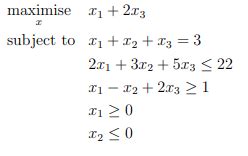
Solved Maximize: Z(x1,x2,x3)=x1+4x2+5x3, Subject to: | Chegg.com
1059×537
chegg.com
Solved Maximize: x1+2x2 Subject to: | Chegg.com
1162×445
chegg.com
Solved Maximize and minimize p = 2x − y subject to x + y ≥ 1 | Chegg.com
1434×3287
Course Hero
[Solved] SIMPLEX ME…
618×387
chegg.com
Solved Maximize and minimize p=x+2y subject to | Chegg.com
700×512
chegg.com
Solved Maximize and minimize p=x+2y subject to | Chegg.com
700×600
chegg.com
Solved Consider the following maximization …
1280×720
chegg.com
Solved Exercise 1. Maximise and minimise the objective | Chegg.com
1024×585
chegg.com
Solved In this problem you will maximize and minimize the | Chegg.com
700×522
chegg.com
Solved Switch from Minimization to Maximizatio…
1200×649
www.bartleby.com
Answered: Maximize and minimize objective… | bartleby
1024×551
chegg.com
Solved This problem will have you maximize and minimize the | Chegg.com
People interested in
X
Minimize/Maximize
also searched for
Tombol Close
Button Sign
Icons Windows
Screen Appearance
Screen Features
PNG
Lifestyle
UI
Restore Close Buttons
Material Design
Emulator Android Studio
623×394
chegg.com
Solved This problem will have you maximize and minimize the | Chegg.com
1316×876
chegg.com
Solved Imagine we want to maximize or minimize a | Chegg.com
284×154
chegg.com
Solved What is the maximize for this solution and for x a…
1024×623
Chegg
Solved 1. Consider the minimization problem minimizex'Mx | Chegg.com
1024×768
pinoybix.org
Solution: What x value maximizes y?
700×487
chegg.com
what are the steps to finding the values of x which | Chegg.com
744×836
askfilo.com
19. Maximize and minimize Z=5x+10y, subject to x+2y…
945×945
teachoo.com
Example 3 - Minimise and Maximise Z = 3x + 9y, x + 3y
Some results have been hidden because they may be inaccessible to you.
Show inaccessible results
Report an inappropriate content
Please select one of the options below.
Not Relevant
Offensive
Adult
Child Sexual Abuse
Feedback