All
Search
Images
Videos
Maps
News
More
Shopping
Flights
Travel
Notebook
Report an inappropriate content
Please select one of the options below.
Not Relevant
Offensive
Adult
Child Sexual Abuse
Top suggestions for Lightybulb Answers Chart
Lightybulb
2 Answers
Lightybulb
Game Answers
Lightybulb
1
Lightybulb
Walkthrough
Lightybulb
Round 2
How to Play Lightybulb
On Abcya the Answer
Length
All
Short (less than 5 minutes)
Medium (5-20 minutes)
Long (more than 20 minutes)
Date
All
Past 24 hours
Past week
Past month
Past year
Resolution
All
Lower than 360p
360p or higher
480p or higher
720p or higher
1080p or higher
Source
All
Dailymotion
Vimeo
Metacafe
Hulu
VEVO
Myspace
MTV
CBS
Fox
CNN
MSN
Price
All
Free
Paid
Clear filters
SafeSearch:
Moderate
Strict
Moderate (default)
Off
Filter
Lightybulb
2 Answers
Lightybulb
Game Answers
Lightybulb
1
Lightybulb
Walkthrough
Lightybulb
Round 2
How to Play Lightybulb
On Abcya the Answer
askfilo.com
The diagram below shows three lamps connected to a 120 V AC (ho... | Filo
Solution For The diagram below shows three lamps connected to a 120 V AC (household supply voltage). Lamps 1 and 2 have 120 W bulbs, while lamp 3 has
5.2K views
Jan 7, 2025
How to Change a Light Bulb
4:07
How to Replace a Headlight Bulb (Tips and Tricks)
YouTube
ChrisFix
2.4M views
Jun 18, 2014
2:34
How To: Replace a Car Headlight Bulb
YouTube
O'Reilly Auto Parts
1.1M views
Jan 26, 2018
2:23
How to Change a Light Bulb
YouTube
ElectroBOOM
2.8M views
Apr 2, 2013
Top videos
2:14
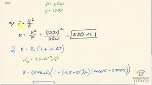
OpenStax College Physics Solution, Chapter 20, Problem 72 (Problems and Exercises)
collegephysicsanswers.com
40 views
Aug 18, 2020
Headlight Bulb Cross Reference – Find Compatible Bulb Types
headlightrevolution.com
Oct 14, 2020
vi-BB1mLgQs
MSN
May 21, 2024
LED Vs CFL Bulbs
LED vs. CFL Bulbs: Which Is More Energy-Efficient?
constellation.com
Apr 5, 2024
What are CFL bulbs and where should they be used?
regencysupply.com
Aug 17, 2016
Incandescent vs CFL vs LED vs Halogen Light Bulbs
elesi.com
Oct 25, 2020
2:14
OpenStax College Physics Solution, Chapter 20, Problem 72 (Problem
…
40 views
Aug 18, 2020
collegephysicsanswers.com
Headlight Bulb Cross Reference – Find Compatible Bulb Types
Oct 14, 2020
headlightrevolution.com
vi-BB1mLgQs
May 21, 2024
MSN
Figuring Out Which Bulb is Burnt Out
Jun 19, 2017
CarCareKiosk
Halo chart answers for the new halo! 🎃 | Halloween 2023 #fyp #royalehig
…
74.9K views
Oct 18, 2023
TikTok
obvheeya
Electricity Class 10 Science (Physics) One Shot (Concepts Qu
…
41.3K views
Oct 3, 2022
byjus.com
2:05
Lightybulb Walkthrough
46.7K views
Jan 5, 2015
YouTube
StArKeRl200
4:03
Psychrometric Chart Examples
38.7K views
Sep 17, 2015
YouTube
LearnChemE
3:56
Lighty Bulb Walkthrough
257.9K views
Jan 5, 2015
YouTube
escapeskynet
5:51
Lightybulb 3 · Game · Walkthrough
6.4K views
Jun 12, 2020
YouTube
gamaverse.online — free games
2:42
Lighty Bulb 2 Walkthrough
131.6K views
Nov 16, 2015
YouTube
Tricera Gamez
1:28
Decorative Light Bulb - Size & Codes | Spec. Sense
32.5K views
Jun 18, 2020
YouTube
AMRE Supply
10:24
Assessments - Answer Key Only
179.2K views
Jan 25, 2016
YouTube
eDoctrina
2:05
Determining Screw Base Bulb Diameters
16K views
Jul 11, 2012
YouTube
BulbTown
5:58
Relative Humidity and Dewpoint
370.1K views
Dec 17, 2013
YouTube
Mike Sammartano
4:26
Lightybulb Round 2 Walkthrough
306 views
Apr 19, 2016
YouTube
We Game Free
4:08
[NinjaDoodle] Lighty Bulb 2 Walkthrough
41.7K views
Nov 16, 2015
YouTube
CerKill
3:32
Lightybulb 2 · Game · Walkthrough
656 views
Jan 18, 2020
YouTube
gamaverse.online — free games
1:39
How to Calculate a BMI | Ausmed Explains...
125.1K views
Jun 11, 2019
YouTube
Ausmed
8:45
5 Magic Tricks with Lightbulbs (SECRETS REVEALED)
32.6K views
May 15, 2021
YouTube
EvanEraTV
24:58
Wonderlic SLE Practice Questions
238.2K views
Sep 15, 2017
YouTube
NurseHub
3:22
Ask the Expert: How to Choose a Light Bulb
71.8K views
Apr 18, 2014
YouTube
ENERGY STAR
4:09
LightyBulb 1 Complete Gameplay Walkthrough
16.7K views
Sep 30, 2019
YouTube
Lagged
9:36
Six Sigma Yellow Belt Certification Answers
19.1K views
Dec 25, 2020
YouTube
KRUSHNA PRASAD SAHOO
5:06
How to Use a Psychrometric (Humidity) Chart
83.6K views
Sep 17, 2015
YouTube
LearnChemE
3:12
How to Test for a Faulty Light Bulb
237.8K views
Oct 10, 2014
YouTube
4DIYers
1:25
how to find any commonlit answer key
257.6K views
Mar 18, 2020
YouTube
Kaithlyn Maquiling
3:41
Power a Light Bulb From a Balloon! Weather Education Week Experim
…
15.6K views
May 19, 2021
YouTube
NBC10 Philadelphia
6:59
5 Types of Chemical Reactions Lab with Worksheet & Answers
357K views
May 2, 2012
YouTube
2Bryte Life
See more videos
More like this
Feedback